【药物名称】Enprostil, RS-84135, Syngard, Gardrine, Camleed, Gardrin
化学结构式(Chemical Structure):
参考文献No.46766
标题:16-Phenoxy and 16-substituted phenoxy-prostatrienoic acid derivatives
作者:Muchowski, J.M.; Fried, J.H. (Syntex (USA), Inc.)
来源:DE 2627910; ES 449162; FR 2315263; US 3985791
合成路线图解说明:

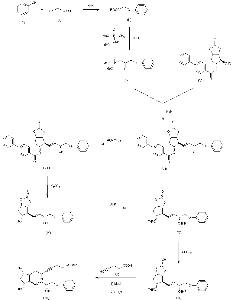
The reaction of phenol (I) with ethyl bromoacetate (II) by means of NaH in dimethoxyethane gives ethyl phenoxyacetate (III), which is condensed with dimethyl methylphosphonate (IV) by means of n-butyllithium in THF to afford dimethyl 2-oxo-3-phenoxypropylphosphonate (V). The Wittig condensation of (V) with (2'alpha-hydroxy-4'alpha-p-phenylbenzoyloxy-5'beta-ormylcyclopent-1'alpha-yl)acetic acid 1,2'-lactone (VI) by means of NaH in dimethoxyethane yields the ketonic lactone (VII), which is reduced with aluminum isopropoxide in refluxing toluene to give the hydroxy lactone (VIII). The hydrolysis of the protecting group of (VIII) with K2CO3 in methanol yields the dihydroxy lactone (IX), which is then protected with dihydropyran affording the bis(tetrahydropyranyloxy) compound (X). The reduction of the lactone group of (X) with diisobutylaluminum hydride in toluene yields the protected hemiacetal (XI), which is condensed with 4-pentinoic acid (XII) by means of LiCH3 in HMPT affording 6,9alpha-dihy-droxy-11alpha,15alpha-bistetrahydropyranyloxy-16-phenoxy-17,18,19,20-tetranorprost-4-yn-13-trans-enoic acid methyl ester (XIII) resulting from the methylation with CH2N2 of the acid intermediate.

合成路线图解说明:

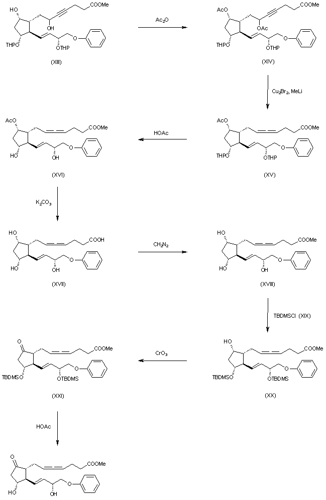
The acetylation of (XIII) with acetic anhydride and triethylamine in methylene chloride yields the diacetoxy-bistetra-hydropyranyloxy acetylenic compound (XlV), which by a treatment with Cu2Br2-LiCH3 in ether is converted into 16-phenoxy-9alpha-acetoxy-11alpha,15alpha-bistetrahydropyranyloxy-17,18,19,20-tetranorprosta-4,5,13-trans-trienoic acid methyl ester (XV). Elimination of the tetrahydropyranyl groups with acetic acid in water gives the corresponding dihydroxy compound (XVI), which is fully deprotected with K2CO3 in methanol yielding 9alpha,11alpha,15alpha-trihydroxy-16-phenoxy-17,18,19,20-tetranorprosta-4,5,13-trans-trienoic acid (XVII). The methylation of (XVII) with diazomethane affords the corresponding methyl ester (XVIII), which by treatment with tert-butyldimethylsilyl chloride (XIX) in DMF is converted into the corresponding 11,15-bis(silyloxy) compound (XX). The oxidation of (XX) with CrO3 - pyridine in CH2Cl2 affords 9-oxo-16-phenoxy-11alpha,15alpha-bis(tert-butyldimethylsilyloxy)-17,18,19,20-tetranorprosta-4,5,13-trans-trienoic acid methyl ester (XXI), which is deprotected with aqueous acetic acid giving the free keto ester (XXII). Finally, this ester is hydrolyzed by treatment with pancreatic lipase.

参考文献No.46767
标题:(dl)-16-Phenoxy- and 16-substituted phenoxy-9-keto prostatrienoic acid derivatives and processes for the production thereof
作者:Van Horn, A.R.; Garay, G.; Edwards, J.A. (Syntex (USA), Inc.)
来源:DE 2927715; EP 0008003; ES 482330; FR 2430939; GB 2025413; US 4178457
合成路线图解说明:

The reaction of phenol (I) with ethyl bromoacetate (II) by means of NaH in dimethoxyethane gives ethyl phenoxyacetate (III), which is condensed with dimethyl methylphosphonate (IV) by means of n-butyllithium in THF to afford dimethyl 2-oxo-3-phenoxypropylphosphonate (V). The Wittig condensation of (V) with (2'alpha-hydroxy-4'alpha-p-phenylbenzoyloxy-5'beta-ormylcyclopent-1'alpha-yl)acetic acid 1,2'-lactone (VI) by means of NaH in dimethoxyethane yields the ketonic lactone (VII), which is reduced with aluminum isopropoxide in refluxing toluene to give the hydroxy lactone (VIII). The hydrolysis of the protecting group of (VIII) with K2CO3 in methanol yields the dihydroxy lactone (IX), which is then protected with dihydropyran affording the bis(tetrahydropyranyloxy) compound (X). The reduction of the lactone group of (X) with diisobutylaluminum hydride in toluene yields the protected hemiacetal (XI), which is condensed with 4-pentinoic acid (XII) by means of LiCH3 in HMPT affording 6,9alpha-dihy-droxy-11alpha,15alpha-bistetrahydropyranyloxy-16-phenoxy-17,18,19,20-tetranorprost-4-yn-13-trans-enoic acid methyl ester (XIII) resulting from the methylation with CH2N2 of the acid intermediate.

合成路线图解说明:

The acetylation of (XIII) with acetic anhydride and triethylamine in methylene chloride yields the diacetoxy-bistetra-hydropyranyloxy acetylenic compound (XlV), which by a treatment with Cu2Br2-LiCH3 in ether is converted into 16-phenoxy-9alpha-acetoxy-11alpha,15alpha-bistetrahydropyranyloxy-17,18,19,20-tetranorprosta-4,5,13-trans-trienoic acid methyl ester (XV). Elimination of the tetrahydropyranyl groups with acetic acid in water gives the corresponding dihydroxy compound (XVI), which is fully deprotected with K2CO3 in methanol yielding 9alpha,11alpha,15alpha-trihydroxy-16-phenoxy-17,18,19,20-tetranorprosta-4,5,13-trans-trienoic acid (XVII). The methylation of (XVII) with diazomethane affords the corresponding methyl ester (XVIII), which by treatment with tert-butyldimethylsilyl chloride (XIX) in DMF is converted into the corresponding 11,15-bis(silyloxy) compound (XX). The oxidation of (XX) with CrO3 - pyridine in CH2Cl2 affords 9-oxo-16-phenoxy-11alpha,15alpha-bis(tert-butyldimethylsilyloxy)-17,18,19,20-tetranorprosta-4,5,13-trans-trienoic acid methyl ester (XXI), which is deprotected with aqueous acetic acid giving the free keto ester (XXII). Finally, this ester is hydrolyzed by treatment with pancreatic lipase.

参考文献No.55716
标题:RS-84,135
作者:Blancafort, P.; Casta馿r, J.; Serradell, M.N.; Hillier, K.
来源:Drugs Fut 1982,7(11),812
合成路线图解说明:

The reaction of phenol (I) with ethyl bromoacetate (II) by means of NaH in dimethoxyethane gives ethyl phenoxyacetate (III), which is condensed with dimethyl methylphosphonate (IV) by means of n-butyllithium in THF to afford dimethyl 2-oxo-3-phenoxypropylphosphonate (V). The Wittig condensation of (V) with (2'alpha-hydroxy-4'alpha-p-phenylbenzoyloxy-5'beta-ormylcyclopent-1'alpha-yl)acetic acid 1,2'-lactone (VI) by means of NaH in dimethoxyethane yields the ketonic lactone (VII), which is reduced with aluminum isopropoxide in refluxing toluene to give the hydroxy lactone (VIII). The hydrolysis of the protecting group of (VIII) with K2CO3 in methanol yields the dihydroxy lactone (IX), which is then protected with dihydropyran affording the bis(tetrahydropyranyloxy) compound (X). The reduction of the lactone group of (X) with diisobutylaluminum hydride in toluene yields the protected hemiacetal (XI), which is condensed with 4-pentinoic acid (XII) by means of LiCH3 in HMPT affording 6,9alpha-dihy-droxy-11alpha,15alpha-bistetrahydropyranyloxy-16-phenoxy-17,18,19,20-tetranorprost-4-yn-13-trans-enoic acid methyl ester (XIII) resulting from the methylation with CH2N2 of the acid intermediate.

合成路线图解说明:

The acetylation of (XIII) with acetic anhydride and triethylamine in methylene chloride yields the diacetoxy-bistetra-hydropyranyloxy acetylenic compound (XlV), which by a treatment with Cu2Br2-LiCH3 in ether is converted into 16-phenoxy-9alpha-acetoxy-11alpha,15alpha-bistetrahydropyranyloxy-17,18,19,20-tetranorprosta-4,5,13-trans-trienoic acid methyl ester (XV). Elimination of the tetrahydropyranyl groups with acetic acid in water gives the corresponding dihydroxy compound (XVI), which is fully deprotected with K2CO3 in methanol yielding 9alpha,11alpha,15alpha-trihydroxy-16-phenoxy-17,18,19,20-tetranorprosta-4,5,13-trans-trienoic acid (XVII). The methylation of (XVII) with diazomethane affords the corresponding methyl ester (XVIII), which by treatment with tert-butyldimethylsilyl chloride (XIX) in DMF is converted into the corresponding 11,15-bis(silyloxy) compound (XX). The oxidation of (XX) with CrO3 - pyridine in CH2Cl2 affords 9-oxo-16-phenoxy-11alpha,15alpha-bis(tert-butyldimethylsilyloxy)-17,18,19,20-tetranorprosta-4,5,13-trans-trienoic acid methyl ester (XXI), which is deprotected with aqueous acetic acid giving the free keto ester (XXII). Finally, this ester is hydrolyzed by treatment with pancreatic lipase.

Drug Information Express,Drug R&D,Chemical Database,Patent Search.
Copyright © 2006-2026 Drug Future. All rights reserved.Contact Us