【药物名称】Eformoterol fumarate, Formoterol fumarate, CGP-25827A(free base), YM-08316, BD-40A(anhydrous), Foradil Aerolizer, Foradil Certihaler, Broncoral, Oxeze Turbuhaler, Oxis Turbuhaler, Foradil, Atock
化学结构式(Chemical Structure):
参考文献No.55710
标题:BD 40A
作者:Casta馿r, J.; Weetman, D.F.
来源:Drugs Fut 1977,2(10),639
合成路线图解说明:

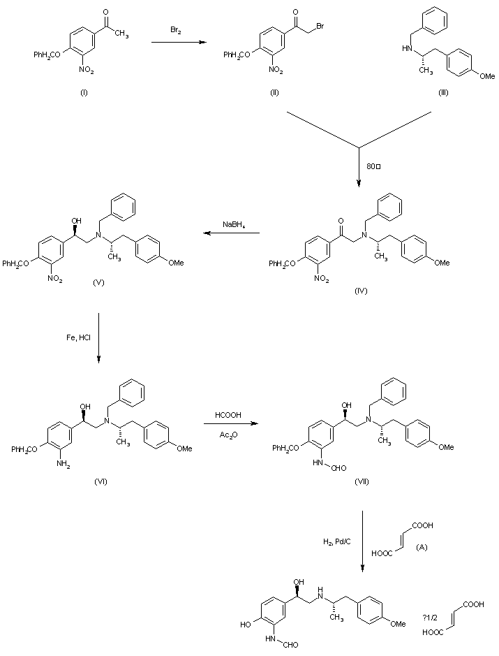
The bromination of 4 benzyloxy-3-nitroacetophenone (I) with Br2 in CHCl3 gives 4-benzyloxy-3-nitro-alpha-bromoacetophenone (II), which is then condensed with N-benzyl-N-(1-methyl-2-(p-methoxyphenyl)ethyl]-amine (III) in butanone at 80 C yielding 4-benzyloxy-3-nitro-alpha-[N-benzyl-N-[1-methyl-2-(p-methoxyphenyl)ethyl]amino]acetophenone (IV). The reduction of the carbonyl group of (IV) with NaBH4 in ethanol affords the corresponding nitro alcohol (V), which is reduced again with Fe and HCl in ethanol - water to the amino alcohol (VI). The formylation of (VI) with formic acid in acetic anhydride gives 4-benzyloxy-3-formyl-amino-alpha-[N-benzyl-N-[1-methyl-2-(p-methoxyphenyl)ethyl]aminomethyl]benzyl alcohol (VII), which is finally debenzylated with H2 over Pd/C in ethanol and treated with fumaric acid (A).

合成路线图解说明:

By reduction of a mixture of 1-(3-formylamino-4-hydroxyphenyl)-2-aminoethanol (VIII) and 1-(4-methoxyphenyl)-2-propanone (IX) with H2 over Pt in ethanol, followed by a treatment with fumaric acid (A).

参考文献No.701108
标题:alpha-Aminomethylbenzylalkoholderivative
作者:Murakami, M.; et al.
来源:DE 2305092; DE 2366625
合成路线图解说明:

The bromination of 4 benzyloxy-3-nitroacetophenone (I) with Br2 in CHCl3 gives 4-benzyloxy-3-nitro-alpha-bromoacetophenone (II), which is then condensed with N-benzyl-N-(1-methyl-2-(p-methoxyphenyl)ethyl]-amine (III) in butanone at 80 C yielding 4-benzyloxy-3-nitro-alpha-[N-benzyl-N-[1-methyl-2-(p-methoxyphenyl)ethyl]amino]acetophenone (IV). The reduction of the carbonyl group of (IV) with NaBH4 in ethanol affords the corresponding nitro alcohol (V), which is reduced again with Fe and HCl in ethanol - water to the amino alcohol (VI). The formylation of (VI) with formic acid in acetic anhydride gives 4-benzyloxy-3-formyl-amino-alpha-[N-benzyl-N-[1-methyl-2-(p-methoxyphenyl)ethyl]aminomethyl]benzyl alcohol (VII), which is finally debenzylated with H2 over Pd/C in ethanol and treated with fumaric acid (A).

参考文献No.701109
标题:
作者:Murase, K.; et al.
来源:JP 7512040
合成路线图解说明:

By reduction of a mixture of 1-(3-formylamino-4-hydroxyphenyl)-2-aminoethanol (VIII) and 1-(4-methoxyphenyl)-2-propanone (IX) with H2 over Pt in ethanol, followed by a treatment with fumaric acid (A).

Drug Information Express,Drug R&D,Chemical Database,Patent Search.
Copyright © 2006-2026 Drug Future. All rights reserved.Contact Us