【药物名称】Plaunotol, CS-684, Kelnac
化学结构式(Chemical Structure):
参考文献No.46334
标题:Polyprenyl derivatives
作者:Mishima, H.; Ogiso, A.; Kobayashi, S. (Sankyo Co., Ltd.)
来源:DE 2652256; FR 2332009; GB 1533377; JP 52062213; US 4059641
合成路线图解说明:

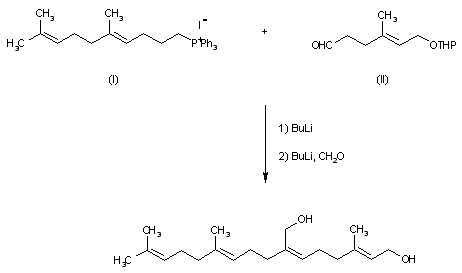
By a Wittig condensation of 5,9-dimethyl-4,8-decadien-1-yltriphenylphosphonium iodide (I) with 4-methyl-6-tetrahydropyranyloxy-4-hexenal (II) using butyllithium as condensing agent in THF, followed by reaction with paraformaldehyde and sec-butyl lithiurn in the same solvent.

参考文献No.46335
标题:Polyprenyl piperazines
作者:Mishima, H.; Ogiso, A.; Kobayashi, S. (Sankyo Co., Ltd.)
来源:DE 2717990; FR 2348907; FR 2422617; GB 1534111; JP 52131507; US 4151357
合成路线图解说明:

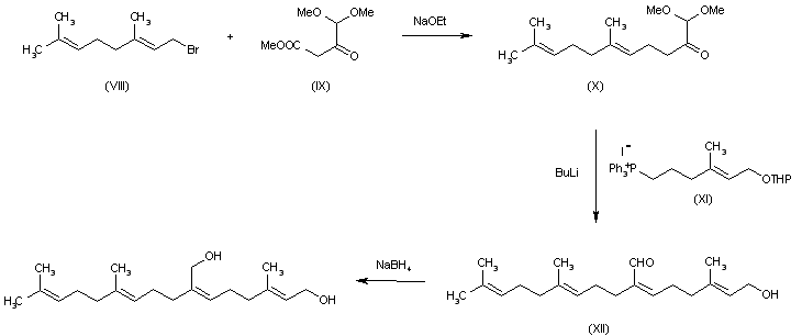
The condensation of genanyl bromide (VIII) with methyl 4,4-dimethoxyacetylacetate (IX) by means of sodium ethoxide in refluxing ethanol gives 1,1-dimethoxy-6,10-dimethyl-5,9-undecadiene-2-one (X), which is submitted to a Wittig condensation with (4-methyl-6-tetrahydropyranyloxy-4-hexenyl)triphenyl phosphonium iodide by means of n-butyllithium in hexane yielding 7-formyl-3,11,15-trimethyl-2,6,10,14-hexadecatetraen-1-ol (XII). Finally, this compound is reduced with NaBH4 in ethanol.

参考文献No.55692
标题:Plaunotol
作者:Casta馿r, J.; Serradell, M.N.; Blancafort, P.
来源:Drugs Fut 1983,8(11),930
合成路线图解说明:

By a Wittig condensation of 5,9-dimethyl-4,8-decadien-1-yltriphenylphosphonium iodide (I) with 4-methyl-6-tetrahydropyranyloxy-4-hexenal (II) using butyllithium as condensing agent in THF, followed by reaction with paraformaldehyde and sec-butyl lithiurn in the same solvent.

合成路线图解说明:

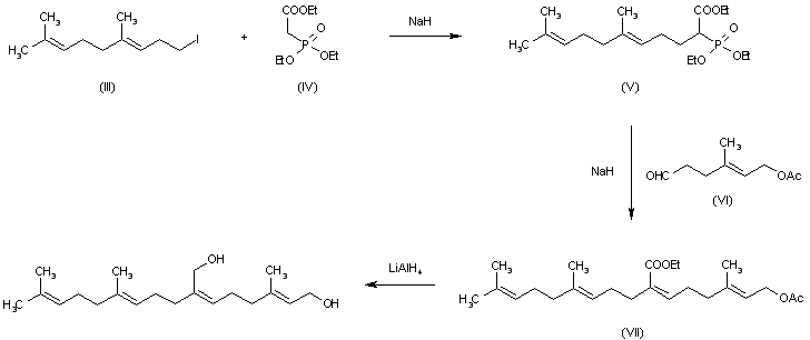
The condensation of homogeranyl iodide (III) with diethyl ethoxycarbony-methylphosphonate (IV) by means of NaH in diethoxyethane gives the phosphorane (V), which by a Wittig condensation with 4-methyl-6-acetoxy-4-hexenal (VI) by means of NaH yields 7-(ethoxycarbonyl)-3,11,15-trimethyl-2,6,10,14-hexadecatetraen-1-ol acetate (VII). Finally, this compound is reduced and hydrolyzed by treatment with LiAlH4.

合成路线图解说明:

The condensation of genanyl bromide (VIII) with methyl 4,4-dimethoxyacetylacetate (IX) by means of sodium ethoxide in refluxing ethanol gives 1,1-dimethoxy-6,10-dimethyl-5,9-undecadiene-2-one (X), which is submitted to a Wittig condensation with (4-methyl-6-tetrahydropyranyloxy-4-hexenyl)triphenyl phosphonium iodide by means of n-butyllithium in hexane yielding 7-formyl-3,11,15-trimethyl-2,6,10,14-hexadecatetraen-1-ol (XII). Finally, this compound is reduced with NaBH4 in ethanol.

参考文献No.700767
标题:Polyprenyl derivatives
作者:Mishima, H.; Ogiso, A.; Kobayashi, S.
来源:CH 629471; DE 2652256; FR 2332009; GB 1533377; JP 52062213; US 4059641
合成路线图解说明:

The condensation of homogeranyl iodide (III) with diethyl ethoxycarbony-methylphosphonate (IV) by means of NaH in diethoxyethane gives the phosphorane (V), which by a Wittig condensation with 4-methyl-6-acetoxy-4-hexenal (VI) by means of NaH yields 7-(ethoxycarbonyl)-3,11,15-trimethyl-2,6,10,14-hexadecatetraen-1-ol acetate (VII). Finally, this compound is reduced and hydrolyzed by treatment with LiAlH4.

参考文献No.800118
标题:Isolation and structure of antipeptic ulcer diterpene from Thai medicinal plant
作者:Ogiso, A.; et al.
来源:Chem Pharm Bull 1978,26(10),3117-23
合成路线图解说明:

By a Wittig condensation of 5,9-dimethyl-4,8-decadien-1-yltriphenylphosphonium iodide (I) with 4-methyl-6-tetrahydropyranyloxy-4-hexenal (II) using butyllithium as condensing agent in THF, followed by reaction with paraformaldehyde and sec-butyl lithiurn in the same solvent.

Drug Information Express,Drug R&D,Chemical Database,Patent Search.
Copyright © 2006-2026 Drug Future. All rights reserved.Contact Us