【药物名称】Mifepristone, C-1073, CI-1073, RU-486, RU-38486, Corlux, Mifeprex, Mifegyne
化学结构式(Chemical Structure):
参考文献No.10263
标题:Steroid. derivs. 11beta-substd.
作者:Teutsch, J.G.; Costerousse, G.; Philibert, D.; Deraedt, R. (Aventis Pharma SA)
来源:FR 2497807; JP 1989279897; US 4447424; US 4978657; US 5043332
合成路线图解说明:

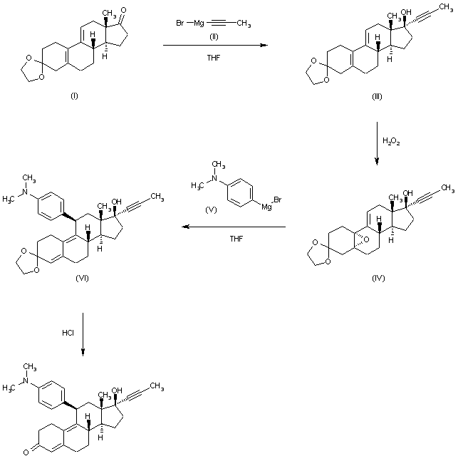
The reaction of 3,3-(ethylenedioxy)estra-5(10),9(11)-diene-17(beta)-one (I) with propynylmagnesium bromine (II) in THF gives 3,3-(ethylenedioxy)-17(beta)-(propyn-1-yl)estra-5(10),9(11)-diene-17(beta)-ol (III), which is epoxidized with H2O2 in hexafluoroacetone-methylene chloride yielding 3,3-(ethylenedioxy)-17(beta)-(propyn-1-yl)-5(alpha),10(alpha)-epoxyestra-9(11)-en-17(beta)-ol (IV). The reaction of (IV) with 4-dimethylaminophenylmagnesium bromide (V) in THF affords 11(beta)-(4-dimethylaminophenyl)-3,3-(ethylenedioxy)-17(beta)-(propyn-1-yl)estra-9-en-17(beta)-ol (VI), which is finally deprotected by a treatment with HCl in metnanol.

参考文献No.55680
标题:RU-486
作者:Kottegoda, S.R.; Casta馿r, J.; Serradell, M.N.; Adaikan, P.G.
来源:Drugs Fut 1984,9(10),755
合成路线图解说明:

The reaction of 3,3-(ethylenedioxy)estra-5(10),9(11)-diene-17(beta)-one (I) with propynylmagnesium bromine (II) in THF gives 3,3-(ethylenedioxy)-17(beta)-(propyn-1-yl)estra-5(10),9(11)-diene-17(beta)-ol (III), which is epoxidized with H2O2 in hexafluoroacetone-methylene chloride yielding 3,3-(ethylenedioxy)-17(beta)-(propyn-1-yl)-5(alpha),10(alpha)-epoxyestra-9(11)-en-17(beta)-ol (IV). The reaction of (IV) with 4-dimethylaminophenylmagnesium bromide (V) in THF affords 11(beta)-(4-dimethylaminophenyl)-3,3-(ethylenedioxy)-17(beta)-(propyn-1-yl)estra-9-en-17(beta)-ol (VI), which is finally deprotected by a treatment with HCl in metnanol.

Drug Information Express,Drug R&D,Chemical Database,Patent Search.
Copyright © 2006-2026 Drug Future. All rights reserved.Contact Us