【药物名称】Sulprostone, ZK-57671, SH-B-286, CP-34089, Nalador
化学结构式(Chemical Structure):
参考文献No.800549
标题:Sulprostone
作者:Casta馿r, J.; Wescott, A.L.
来源:Drugs Fut 1978,3(1),59
合成路线图解说明:

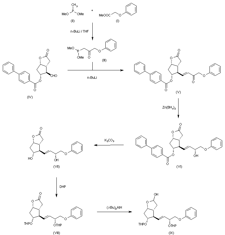
The condensation of methyl phenoxyacetate (I) with dimethyl methylphosphonate (II) by means of butyllithium in THF gives dimethyl 2-oxo-3-phenoxypropylphosphanate (III), which by a Wittig condensation with 2-[3alpha-(p-phenylbenzoyloxy)-5alpha-hydroxy-2beta-formylcyclopentan-1alpha-yl]acetic acid gamma-lactone (IV) by means of butyllithium in hexane yields the keto lactone (V). This compound is reduced with zinc borohydride in dimethoxyethane affording the hydroxylactone (VI), which is hydrolyzed with K2CO3 in methanol giving the dihydroxylactone (VII). The hydroxyl groups of (VII) are protected with dihydropyrane as usual giving (VIII), which is reduced with diisobutylaluminitim hydride in toluene yielding the hemiacetal (IX).

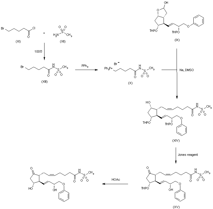
合成路线图解说明:

A Wittig condensation of [4-(methanesulfonylaminocarbonyl)butyl]triphenylphosphonium bromide (X) [the phosphonium bromide (X) is prepared bv reaction of 5-bromovaleryl chloride (Xl) with methanesulfonamide (XII) at 100 C to give N-methanesulfonyl-5-bromovaleramide (XIII), which is then condensed with triphenylphosphine in refluxing acetonitrile] with hemiacetal (IX) by means of Na in DMSO affords N-methanesulfonyl-9alpha-hydroxy-11alpha,15alpha-bis(tetrahydropyranyloxy)-16-phenoxy-5-cis-13-trans-omega-tetranorprostadienamide (XIV), which is then oxidized with the Jones reagent in acetone to the keto compound (XV). Finally, this compound is deprotected with acetic acid.

参考文献No.800550
标题:Substituted 16,17,18,19,20-pentanorprostaglandins
作者:Beil, W.; Hoeppener, A.; Wolff, H.J.; Beil, H.
来源:DE 2355540; ES 433046; ES 433047; FR 2205335; GB 1456512; JP 49093342; JP 52053841
合成路线图解说明:

The condensation of methyl phenoxyacetate (I) with dimethyl methylphosphonate (II) by means of butyllithium in THF gives dimethyl 2-oxo-3-phenoxypropylphosphanate (III), which by a Wittig condensation with 2-[3alpha-(p-phenylbenzoyloxy)-5alpha-hydroxy-2beta-formylcyclopentan-1alpha-yl]acetic acid gamma-lactone (IV) by means of butyllithium in hexane yields the keto lactone (V). This compound is reduced with zinc borohydride in dimethoxyethane affording the hydroxylactone (VI), which is hydrolyzed with K2CO3 in methanol giving the dihydroxylactone (VII). The hydroxyl groups of (VII) are protected with dihydropyrane as usual giving (VIII), which is reduced with diisobutylaluminitim hydride in toluene yielding the hemiacetal (IX).

合成路线图解说明:

A Wittig condensation of [4-(methanesulfonylaminocarbonyl)butyl]triphenylphosphonium bromide (X) [the phosphonium bromide (X) is prepared bv reaction of 5-bromovaleryl chloride (Xl) with methanesulfonamide (XII) at 100 C to give N-methanesulfonyl-5-bromovaleramide (XIII), which is then condensed with triphenylphosphine in refluxing acetonitrile] with hemiacetal (IX) by means of Na in DMSO affords N-methanesulfonyl-9alpha-hydroxy-11alpha,15alpha-bis(tetrahydropyranyloxy)-16-phenoxy-5-cis-13-trans-omega-tetranorprostadienamide (XIV), which is then oxidized with the Jones reagent in acetone to the keto compound (XV). Finally, this compound is deprotected with acetic acid.

Drug Information Express,Drug R&D,Chemical Database,Patent Search.
Copyright © 2006-2026 Drug Future. All rights reserved.Contact Us