【药物名称】VUFB-15496
化学结构式(Chemical Structure):
参考文献No.4860
标题:N-Substd.-2-chloro-7-fluoro-10-piperazino-10, 11-dihydrobenzo[b,f]thiepins and acid addition salts thereof
作者:Pomyk醕ek, J.; Diabac, A.; Protiva, M.; Valch醨, M.; Jilek, J.; Cervena, I. (SPOFA - United Pharmaceutical Works)
来源:EP 0189310; JP 1986204181; US 4678788
合成路线图解说明:

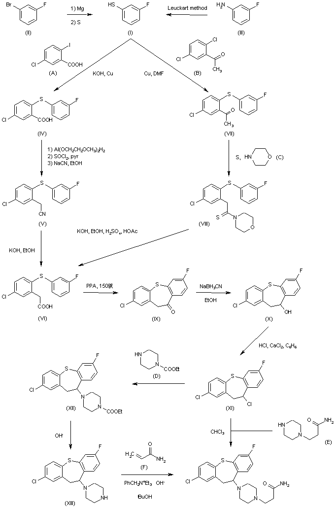
The starting 3-fluorothiophenol (I) is obtained either from 3-fluoro-1-bromobenzene (II) by reaction with Mg and a following treatment with S, or from 3-fluoroaniline (III) by the Leuckart method via 3-fluorobenzenediazonium xanthate and 3-fluorophenyl xanthate. Two different ways were described for obtaining the acid (VI): 1) Reaction of (I) with 5-chloro-2-iodobenzoic acid (A) in a boiling aqueous KOH solution in the presence of Cu, which leads to the acid (IV). This is transformed in three steps (reduction with sodium dihydrodibis(2-methoxyethoxy)aluminate, followed by reaction with SOCl2 in pyridine, and final reaction with NaCN in boiling aqueous ethanol) to the nitrile (V), which is hydrolyzed with a boiling solution of KOH in aqueous ethanol. 2) Reaction of (I) with 2,5-dichloro acetophenone (B) in dimethylformamide at 150 C in the presence of Cu. The resulting ketone (VII) is proceased by the Kindler's modification of the Willgerodt reaction: treatment with S in boiling morpholine (C) gives the thiomorpholide (VIII), which is hydrolyzed either with a boiling ethanolic KOH solution or with a refluxing mixture of dilute H2SO4 and acetic acid. The acid (VI), obtained by both routes, is cyclized with polyphosphoric acid at 150 C to the ketone (IX), which is reduced with sodium borohydride in aqueous ethanol to the alcohol (X). Treatment with HCl in benzene in the presence of CaCl2 affords the reactive chloride (XI), which can be converted to the final product (XIV) by two methods: (b) substitution reaction of (XI) with 1-(ethoxycarbonyl)piperazine (D), followed by alkaline hydrolysis of the carbamate (XII) and addition of the secondary amine (XIII) to acrylamide in tert-butyl alcohol in the presence of benzyltriethylammonium hydroxide. (a) substitution reaction with 3-(1-piperazinyl)propionamide (E) in boiling chloroform gives directly (XIV);

参考文献No.55636
标题:VUFB-15496
作者:Protiva, M.
来源:Drugs Fut 1987,12(7),636
合成路线图解说明:

The starting 3-fluorothiophenol (I) is obtained either from 3-fluoro-1-bromobenzene (II) by reaction with Mg and a following treatment with S, or from 3-fluoroaniline (III) by the Leuckart method via 3-fluorobenzenediazonium xanthate and 3-fluorophenyl xanthate. Two different ways were described for obtaining the acid (VI): 1) Reaction of (I) with 5-chloro-2-iodobenzoic acid (A) in a boiling aqueous KOH solution in the presence of Cu, which leads to the acid (IV). This is transformed in three steps (reduction with sodium dihydrodibis(2-methoxyethoxy)aluminate, followed by reaction with SOCl2 in pyridine, and final reaction with NaCN in boiling aqueous ethanol) to the nitrile (V), which is hydrolyzed with a boiling solution of KOH in aqueous ethanol. 2) Reaction of (I) with 2,5-dichloro acetophenone (B) in dimethylformamide at 150 C in the presence of Cu. The resulting ketone (VII) is proceased by the Kindler's modification of the Willgerodt reaction: treatment with S in boiling morpholine (C) gives the thiomorpholide (VIII), which is hydrolyzed either with a boiling ethanolic KOH solution or with a refluxing mixture of dilute H2SO4 and acetic acid. The acid (VI), obtained by both routes, is cyclized with polyphosphoric acid at 150 C to the ketone (IX), which is reduced with sodium borohydride in aqueous ethanol to the alcohol (X). Treatment with HCl in benzene in the presence of CaCl2 affords the reactive chloride (XI), which can be converted to the final product (XIV) by two methods: (b) substitution reaction of (XI) with 1-(ethoxycarbonyl)piperazine (D), followed by alkaline hydrolysis of the carbamate (XII) and addition of the secondary amine (XIII) to acrylamide in tert-butyl alcohol in the presence of benzyltriethylammonium hydroxide. (a) substitution reaction with 3-(1-piperazinyl)propionamide (E) in boiling chloroform gives directly (XIV);

参考文献No.700126
标题:
作者:Nagaoka, M.R.; et al.
来源:Coll Czech Chem Commun 1968,331852
合成路线图解说明:

The starting 3-fluorothiophenol (I) is obtained either from 3-fluoro-1-bromobenzene (II) by reaction with Mg and a following treatment with S, or from 3-fluoroaniline (III) by the Leuckart method via 3-fluorobenzenediazonium xanthate and 3-fluorophenyl xanthate. Two different ways were described for obtaining the acid (VI): 1) Reaction of (I) with 5-chloro-2-iodobenzoic acid (A) in a boiling aqueous KOH solution in the presence of Cu, which leads to the acid (IV). This is transformed in three steps (reduction with sodium dihydrodibis(2-methoxyethoxy)aluminate, followed by reaction with SOCl2 in pyridine, and final reaction with NaCN in boiling aqueous ethanol) to the nitrile (V), which is hydrolyzed with a boiling solution of KOH in aqueous ethanol. 2) Reaction of (I) with 2,5-dichloro acetophenone (B) in dimethylformamide at 150 C in the presence of Cu. The resulting ketone (VII) is proceased by the Kindler's modification of the Willgerodt reaction: treatment with S in boiling morpholine (C) gives the thiomorpholide (VIII), which is hydrolyzed either with a boiling ethanolic KOH solution or with a refluxing mixture of dilute H2SO4 and acetic acid. The acid (VI), obtained by both routes, is cyclized with polyphosphoric acid at 150 C to the ketone (IX), which is reduced with sodium borohydride in aqueous ethanol to the alcohol (X). Treatment with HCl in benzene in the presence of CaCl2 affords the reactive chloride (XI), which can be converted to the final product (XIV) by two methods: (b) substitution reaction of (XI) with 1-(ethoxycarbonyl)piperazine (D), followed by alkaline hydrolysis of the carbamate (XII) and addition of the secondary amine (XIII) to acrylamide in tert-butyl alcohol in the presence of benzyltriethylammonium hydroxide. (a) substitution reaction with 3-(1-piperazinyl)propionamide (E) in boiling chloroform gives directly (XIV);

参考文献No.700127
标题:
作者:Rand, K.H.; Houck, H.
来源:Coll Czech Chem Commun 1975,402887
合成路线图解说明:

The starting 3-fluorothiophenol (I) is obtained either from 3-fluoro-1-bromobenzene (II) by reaction with Mg and a following treatment with S, or from 3-fluoroaniline (III) by the Leuckart method via 3-fluorobenzenediazonium xanthate and 3-fluorophenyl xanthate. Two different ways were described for obtaining the acid (VI): 1) Reaction of (I) with 5-chloro-2-iodobenzoic acid (A) in a boiling aqueous KOH solution in the presence of Cu, which leads to the acid (IV). This is transformed in three steps (reduction with sodium dihydrodibis(2-methoxyethoxy)aluminate, followed by reaction with SOCl2 in pyridine, and final reaction with NaCN in boiling aqueous ethanol) to the nitrile (V), which is hydrolyzed with a boiling solution of KOH in aqueous ethanol. 2) Reaction of (I) with 2,5-dichloro acetophenone (B) in dimethylformamide at 150 C in the presence of Cu. The resulting ketone (VII) is proceased by the Kindler's modification of the Willgerodt reaction: treatment with S in boiling morpholine (C) gives the thiomorpholide (VIII), which is hydrolyzed either with a boiling ethanolic KOH solution or with a refluxing mixture of dilute H2SO4 and acetic acid. The acid (VI), obtained by both routes, is cyclized with polyphosphoric acid at 150 C to the ketone (IX), which is reduced with sodium borohydride in aqueous ethanol to the alcohol (X). Treatment with HCl in benzene in the presence of CaCl2 affords the reactive chloride (XI), which can be converted to the final product (XIV) by two methods: (b) substitution reaction of (XI) with 1-(ethoxycarbonyl)piperazine (D), followed by alkaline hydrolysis of the carbamate (XII) and addition of the secondary amine (XIII) to acrylamide in tert-butyl alcohol in the presence of benzyltriethylammonium hydroxide. (a) substitution reaction with 3-(1-piperazinyl)propionamide (E) in boiling chloroform gives directly (XIV);

参考文献No.700128
标题:
作者:
来源:Coll Czech Chem Commun 1978,431276
合成路线图解说明:

The starting 3-fluorothiophenol (I) is obtained either from 3-fluoro-1-bromobenzene (II) by reaction with Mg and a following treatment with S, or from 3-fluoroaniline (III) by the Leuckart method via 3-fluorobenzenediazonium xanthate and 3-fluorophenyl xanthate. Two different ways were described for obtaining the acid (VI): 1) Reaction of (I) with 5-chloro-2-iodobenzoic acid (A) in a boiling aqueous KOH solution in the presence of Cu, which leads to the acid (IV). This is transformed in three steps (reduction with sodium dihydrodibis(2-methoxyethoxy)aluminate, followed by reaction with SOCl2 in pyridine, and final reaction with NaCN in boiling aqueous ethanol) to the nitrile (V), which is hydrolyzed with a boiling solution of KOH in aqueous ethanol. 2) Reaction of (I) with 2,5-dichloro acetophenone (B) in dimethylformamide at 150 C in the presence of Cu. The resulting ketone (VII) is proceased by the Kindler's modification of the Willgerodt reaction: treatment with S in boiling morpholine (C) gives the thiomorpholide (VIII), which is hydrolyzed either with a boiling ethanolic KOH solution or with a refluxing mixture of dilute H2SO4 and acetic acid. The acid (VI), obtained by both routes, is cyclized with polyphosphoric acid at 150 C to the ketone (IX), which is reduced with sodium borohydride in aqueous ethanol to the alcohol (X). Treatment with HCl in benzene in the presence of CaCl2 affords the reactive chloride (XI), which can be converted to the final product (XIV) by two methods: (b) substitution reaction of (XI) with 1-(ethoxycarbonyl)piperazine (D), followed by alkaline hydrolysis of the carbamate (XII) and addition of the secondary amine (XIII) to acrylamide in tert-butyl alcohol in the presence of benzyltriethylammonium hydroxide. (a) substitution reaction with 3-(1-piperazinyl)propionamide (E) in boiling chloroform gives directly (XIV);

参考文献No.700129
标题:
作者:Parola, M.; Robino, G.; Pastacaldi, S.; Gentilini, P.; Pinzani, M.; Marra, F.
来源:Coll Czech Chem Commun 1986,512598
合成路线图解说明:

The starting 3-fluorothiophenol (I) is obtained either from 3-fluoro-1-bromobenzene (II) by reaction with Mg and a following treatment with S, or from 3-fluoroaniline (III) by the Leuckart method via 3-fluorobenzenediazonium xanthate and 3-fluorophenyl xanthate. Two different ways were described for obtaining the acid (VI): 1) Reaction of (I) with 5-chloro-2-iodobenzoic acid (A) in a boiling aqueous KOH solution in the presence of Cu, which leads to the acid (IV). This is transformed in three steps (reduction with sodium dihydrodibis(2-methoxyethoxy)aluminate, followed by reaction with SOCl2 in pyridine, and final reaction with NaCN in boiling aqueous ethanol) to the nitrile (V), which is hydrolyzed with a boiling solution of KOH in aqueous ethanol. 2) Reaction of (I) with 2,5-dichloro acetophenone (B) in dimethylformamide at 150 C in the presence of Cu. The resulting ketone (VII) is proceased by the Kindler's modification of the Willgerodt reaction: treatment with S in boiling morpholine (C) gives the thiomorpholide (VIII), which is hydrolyzed either with a boiling ethanolic KOH solution or with a refluxing mixture of dilute H2SO4 and acetic acid. The acid (VI), obtained by both routes, is cyclized with polyphosphoric acid at 150 C to the ketone (IX), which is reduced with sodium borohydride in aqueous ethanol to the alcohol (X). Treatment with HCl in benzene in the presence of CaCl2 affords the reactive chloride (XI), which can be converted to the final product (XIV) by two methods: (b) substitution reaction of (XI) with 1-(ethoxycarbonyl)piperazine (D), followed by alkaline hydrolysis of the carbamate (XII) and addition of the secondary amine (XIII) to acrylamide in tert-butyl alcohol in the presence of benzyltriethylammonium hydroxide. (a) substitution reaction with 3-(1-piperazinyl)propionamide (E) in boiling chloroform gives directly (XIV);

参考文献No.700130
标题:
作者:Yu, D.; Mortin, L.I.; Zhang, X.; Alder, J.; Li, T.
来源:Coll Czech Chem Commun 1967,322021
合成路线图解说明:

The starting 3-fluorothiophenol (I) is obtained either from 3-fluoro-1-bromobenzene (II) by reaction with Mg and a following treatment with S, or from 3-fluoroaniline (III) by the Leuckart method via 3-fluorobenzenediazonium xanthate and 3-fluorophenyl xanthate. Two different ways were described for obtaining the acid (VI): 1) Reaction of (I) with 5-chloro-2-iodobenzoic acid (A) in a boiling aqueous KOH solution in the presence of Cu, which leads to the acid (IV). This is transformed in three steps (reduction with sodium dihydrodibis(2-methoxyethoxy)aluminate, followed by reaction with SOCl2 in pyridine, and final reaction with NaCN in boiling aqueous ethanol) to the nitrile (V), which is hydrolyzed with a boiling solution of KOH in aqueous ethanol. 2) Reaction of (I) with 2,5-dichloro acetophenone (B) in dimethylformamide at 150 C in the presence of Cu. The resulting ketone (VII) is proceased by the Kindler's modification of the Willgerodt reaction: treatment with S in boiling morpholine (C) gives the thiomorpholide (VIII), which is hydrolyzed either with a boiling ethanolic KOH solution or with a refluxing mixture of dilute H2SO4 and acetic acid. The acid (VI), obtained by both routes, is cyclized with polyphosphoric acid at 150 C to the ketone (IX), which is reduced with sodium borohydride in aqueous ethanol to the alcohol (X). Treatment with HCl in benzene in the presence of CaCl2 affords the reactive chloride (XI), which can be converted to the final product (XIV) by two methods: (b) substitution reaction of (XI) with 1-(ethoxycarbonyl)piperazine (D), followed by alkaline hydrolysis of the carbamate (XII) and addition of the secondary amine (XIII) to acrylamide in tert-butyl alcohol in the presence of benzyltriethylammonium hydroxide. (a) substitution reaction with 3-(1-piperazinyl)propionamide (E) in boiling chloroform gives directly (XIV);

参考文献No.700452
标题:
作者:Ghiro, L.; et al.
来源:Z Physik Chem (Leipzig) 1931,156 A(3),397
合成路线图解说明:

The starting 3-fluorothiophenol (I) is obtained either from 3-fluoro-1-bromobenzene (II) by reaction with Mg and a following treatment with S, or from 3-fluoroaniline (III) by the Leuckart method via 3-fluorobenzenediazonium xanthate and 3-fluorophenyl xanthate. Two different ways were described for obtaining the acid (VI): 1) Reaction of (I) with 5-chloro-2-iodobenzoic acid (A) in a boiling aqueous KOH solution in the presence of Cu, which leads to the acid (IV). This is transformed in three steps (reduction with sodium dihydrodibis(2-methoxyethoxy)aluminate, followed by reaction with SOCl2 in pyridine, and final reaction with NaCN in boiling aqueous ethanol) to the nitrile (V), which is hydrolyzed with a boiling solution of KOH in aqueous ethanol. 2) Reaction of (I) with 2,5-dichloro acetophenone (B) in dimethylformamide at 150 C in the presence of Cu. The resulting ketone (VII) is proceased by the Kindler's modification of the Willgerodt reaction: treatment with S in boiling morpholine (C) gives the thiomorpholide (VIII), which is hydrolyzed either with a boiling ethanolic KOH solution or with a refluxing mixture of dilute H2SO4 and acetic acid. The acid (VI), obtained by both routes, is cyclized with polyphosphoric acid at 150 C to the ketone (IX), which is reduced with sodium borohydride in aqueous ethanol to the alcohol (X). Treatment with HCl in benzene in the presence of CaCl2 affords the reactive chloride (XI), which can be converted to the final product (XIV) by two methods: (b) substitution reaction of (XI) with 1-(ethoxycarbonyl)piperazine (D), followed by alkaline hydrolysis of the carbamate (XII) and addition of the secondary amine (XIII) to acrylamide in tert-butyl alcohol in the presence of benzyltriethylammonium hydroxide. (a) substitution reaction with 3-(1-piperazinyl)propionamide (E) in boiling chloroform gives directly (XIV);

Drug Information Express,Drug R&D,Chemical Database,Patent Search.
Copyright © 2006-2026 Drug Future. All rights reserved.Contact Us