【药物名称】Thaliblastine, Thalicarpine, NSC-68075
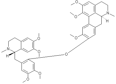
化学结构式(Chemical Structure):
参考文献No.62408
标题:Thaliblastine
作者:Todorov, D.K.
来源:Drugs Fut 1988,13(3),234
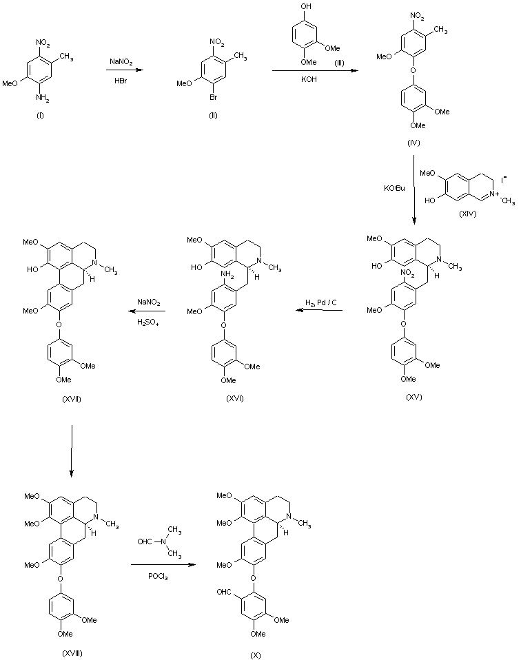
合成路线图解说明:

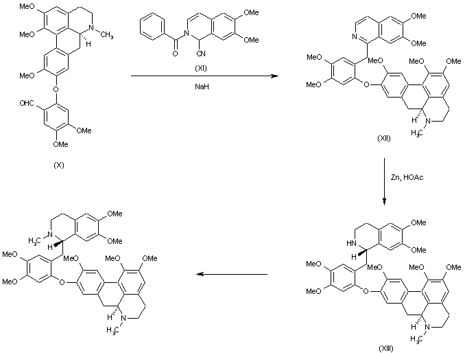
1) The Sandmeyer reaction of 3-amino-4-methoxy-6-nitrotoluene (I) with NaNO2 in acetic acid HBr gives 3-bromo-4 methoxy-6 nitrotoluene (II), which is condensed with 3,4-dimethoxyphenol (III) by means of KOH in refluxing methanol yielding the corresponding diphenyl ether (IV) The formylation of (IV) with dimethylformamide and POCl3 affords the corresponding benzaldehyde (V), which is condensed with 6,7 dimethoxy 2-methyl-3,4-dihydro isoquinolinium iodide (VI) by means of NaH in dimethylacetamide to give 1-[2-nitro-4-methoxy-5-(2-formyl-4,5-dimethoxyphenoxy)benzyl]-6,7-dimethoxy-2 methyl-1,2,3,4-tetrahydroisoquinoline (VII). The reaction of (VII) with ethylene glycol and p-toluenesulfonic acid affords the corresponding ethylene ketal (VIII), which is reduced with H2 over Pd/C in ethanol to the amine (IX). The Pschorr cyclization of (IX) with NaNO2 in acetic acid - H2SO4 affords the tetracyclic aldehyde (X), which is condensed with 2-benzoyl-1-cyano-6,7-dimethoxy-1,2-dihydroisoquinoline (XI) by means of NaH in DMF to give the condensation product (XII). The hydrogenation of (XII) with Zn powder in aqueous acetic acid affords the precursor (XIII), which is finally methylated with formaldehyde formic acid at 100 C.

合成路线图解说明:

2) The condensation of diphenyl ether (IV) with 7-hydroxy-6-metnoxy-2-methyl-3,4-dihydroisoquinolinium iodide (XIV) by means of potassium tert-butoxide in dimethylacetamide gives 1-[2-nitro-4-methoxy-5-(3,4-dimethoxyphenoxy)benzyl]-2-methyl-6-methoxy-7-hydroxy-1,2,3,4-tetrahydroisoquinoline (XV), which is reduced with H2 over Pd/C in methanol to the corresponding amine (XVI). The Pschorr cyclization of (XVI) as before affords the tetracyclic compound (XVII), which is methylated with an excess of CH2N2 in ether yielding the fully methylated compound (XVIII). Finally, this compound is formylated with dimethylformamide and POCl3 as before to give the previously obtained aldehyde (X).

合成路线图解说明:

3) The tetracyclic aldehyde (X) is condensed with 2-benzoyl-1-cyano-6,7-dimethoxy-1,2-dihydroisoquinoline (XI) by means of NaH in DMF to give the condensation product (XII). The hydrogenation of (XII) with Zn powder in aqueous acetic acid affords the precursor (XIII), which is finally methylated with formaldehyde formic acid at 100 C.

参考文献No.547097
标题:Thalicarpine, a new hypotensive alkaloid from Thal
作者:Chakravarti, K.K.; Kupchan, S.M.; Yokoyama, N.
来源:J Pharm Sci 1963,52985
合成路线图解说明:

1) The Sandmeyer reaction of 3-amino-4-methoxy-6-nitrotoluene (I) with NaNO2 in acetic acid HBr gives 3-bromo-4 methoxy-6 nitrotoluene (II), which is condensed with 3,4-dimethoxyphenol (III) by means of KOH in refluxing methanol yielding the corresponding diphenyl ether (IV) The formylation of (IV) with dimethylformamide and POCl3 affords the corresponding benzaldehyde (V), which is condensed with 6,7 dimethoxy 2-methyl-3,4-dihydro isoquinolinium iodide (VI) by means of NaH in dimethylacetamide to give 1-[2-nitro-4-methoxy-5-(2-formyl-4,5-dimethoxyphenoxy)benzyl]-6,7-dimethoxy-2 methyl-1,2,3,4-tetrahydroisoquinoline (VII). The reaction of (VII) with ethylene glycol and p-toluenesulfonic acid affords the corresponding ethylene ketal (VIII), which is reduced with H2 over Pd/C in ethanol to the amine (IX). The Pschorr cyclization of (IX) with NaNO2 in acetic acid - H2SO4 affords the tetracyclic aldehyde (X), which is condensed with 2-benzoyl-1-cyano-6,7-dimethoxy-1,2-dihydroisoquinoline (XI) by means of NaH in DMF to give the condensation product (XII). The hydrogenation of (XII) with Zn powder in aqueous acetic acid affords the precursor (XIII), which is finally methylated with formaldehyde formic acid at 100 C.

合成路线图解说明:

2) The condensation of diphenyl ether (IV) with 7-hydroxy-6-metnoxy-2-methyl-3,4-dihydroisoquinolinium iodide (XIV) by means of potassium tert-butoxide in dimethylacetamide gives 1-[2-nitro-4-methoxy-5-(3,4-dimethoxyphenoxy)benzyl]-2-methyl-6-methoxy-7-hydroxy-1,2,3,4-tetrahydroisoquinoline (XV), which is reduced with H2 over Pd/C in methanol to the corresponding amine (XVI). The Pschorr cyclization of (XVI) as before affords the tetracyclic compound (XVII), which is methylated with an excess of CH2N2 in ether yielding the fully methylated compound (XVIII). Finally, this compound is formylated with dimethylformamide and POCl3 as before to give the previously obtained aldehyde (X).

合成路线图解说明:

3) The tetracyclic aldehyde (X) is condensed with 2-benzoyl-1-cyano-6,7-dimethoxy-1,2-dihydroisoquinoline (XI) by means of NaH in DMF to give the condensation product (XII). The hydrogenation of (XII) with Zn powder in aqueous acetic acid affords the precursor (XIII), which is finally methylated with formaldehyde formic acid at 100 C.

Drug Information Express,Drug R&D,Chemical Database,Patent Search.
Copyright © 2006-2026 Drug Future. All rights reserved.Contact Us