【药物名称】Atipamezole, MPV-1248, Antisedan
化学结构式(Chemical Structure):
参考文献No.4521
标题:Substd. imidazole derivs. and their preparation and use
作者:Karjalainen, A.J.; Virtanen, R.E.; Kurkela, K.O.A.; Karjalainen, A. (Orion Pharma)
来源:AU 8550083; EP 0183492; EP 0310745; ES 8704462; ES 8801248; GB 2167408; JP 1986143366
合成路线图解说明:

This compound can be obtained in two different ways: 1) The bromination of 1-(2-ethylindan-2-yl)-1-ethanone (I) with Br2 in ether gives 2-bromo-1-(2-ethylindan-2-yl)-1-ethanone (II), which is then cyclized with formamide by heating at 170-80 C. 2) The cyclization of alpha,alpha'-dibromo-o-xylene (III) with 4-penten-2-one (IV) by means of tetrabutylammonium hydroxide in toluene at 100 C gives 1-(2-vinylindan-2-yl)-1-ethanone (V), which is brominated with Br2 in dichloromethane to yield 2-bromo-1-(2-vinylindan-2-yl)-1-ethanone (VI). The cyclization of (VI) with formamide at 160 C as before affords 4-(2-vinylindan-2-yl)-1H-imidazole (VII), which is finally hydrogenated with H2 over Pd/C in ethanol.

参考文献No.7361
标题:4(5)-Substd. imidazole derivs., and intermediates and processes for their preparation
作者:Karjalainen, A.L.; Karjalainen, A.J. (Orion Pharma)
来源:EP 0247764; US 4933359
合成路线图解说明:

By reaction of 10-(3-chloropropionyl)-2-(ethoxycarbonylamino)phenothiazine (I) with diethylamine in refluxing toluene.

合成路线图解说明:

This compound can be obtained in two different ways: 1) The bromination of 1-(2-ethylindan-2-yl)-1-ethanone (I) with Br2 in ether gives 2-bromo-1-(2-ethylindan-2-yl)-1-ethanone (II), which is then cyclized with formamide by heating at 170-80 C. 2) The cyclization of alpha,alpha'-dibromo-o-xylene (III) with 4-penten-2-one (IV) by means of tetrabutylammonium hydroxide in toluene at 100 C gives 1-(2-vinylindan-2-yl)-1-ethanone (V), which is brominated with Br2 in dichloromethane to yield 2-bromo-1-(2-vinylindan-2-yl)-1-ethanone (VI). The cyclization of (VI) with formamide at 160 C as before affords 4-(2-vinylindan-2-yl)-1H-imidazole (VII), which is finally hydrogenated with H2 over Pd/C in ethanol.

参考文献No.109005
标题:Atipamezole
作者:Prous, J.; Casta馿r, J.
来源:Drugs Fut 1990,15(5),448
合成路线图解说明:

This compound can be obtained in two different ways: 1) The bromination of 1-(2-ethylindan-2-yl)-1-ethanone (I) with Br2 in ether gives 2-bromo-1-(2-ethylindan-2-yl)-1-ethanone (II), which is then cyclized with formamide by heating at 170-80 C. 2) The cyclization of alpha,alpha'-dibromo-o-xylene (III) with 4-penten-2-one (IV) by means of tetrabutylammonium hydroxide in toluene at 100 C gives 1-(2-vinylindan-2-yl)-1-ethanone (V), which is brominated with Br2 in dichloromethane to yield 2-bromo-1-(2-vinylindan-2-yl)-1-ethanone (VI). The cyclization of (VI) with formamide at 160 C as before affords 4-(2-vinylindan-2-yl)-1H-imidazole (VII), which is finally hydrogenated with H2 over Pd/C in ethanol.

参考文献No.295240
标题:A concise synthesis of atipamezole
作者:Wong, W.C.; Gluchowski, C.
来源:Synthesis 1995,2(2),139
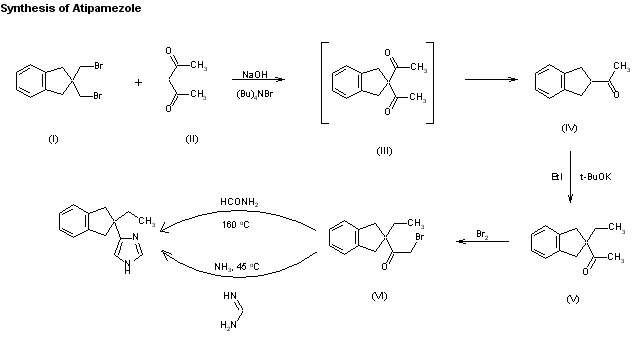
合成路线图解说明:

A new synthesis of atipamezole has been described: The cyclization of alpha,alpha'-dibromo-o-xylene (I) with acetylacetone (II) by means of NaOH and tetrabutylammonium bromide in toluene/water at 80 C under phase-transfer conditions gives the unstable diacetyl derivative (III), which presumably undergoes cleavage to afford 2-acetylindane (IV). The alkylation of (IV) with ethyl iodide and potassium tert-butoxide yields 2-acetyl-2-ethylindane (V), which is brominated with Br2 to give 2-(bromoacetyl)-2-ethylindane (VI). Finally, this compound is cyclized with formamide at 160 C [some 2-ethyl-2-(4-oxazolyl)indane is also formed but is easily eliminated]; the cyclization can also be carried out with formamidine in liquid ammonia.

参考文献No.656066
标题:Synthesis of [11C]atipamezole, a potential PET ligand for the alpha2-adrenergic receptor in the brain
作者:Roeda, D.; et al.
来源:J Label Compd Radiopharm 2002,45(1),37
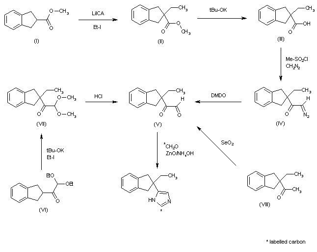
合成路线图解说明:

The alkylation of indane-2-carboxylic acid methyl ester (I) with ethyl iodide by means of lithium isopropylcyclohexylamide (LiICA) in THF/DMSO gives the 2-ethyl substituted compound (II), which is hydrolyzed with tBu-OK in DMSO, yielding 2-ethylindane-2-carboxylic acid (III). The reaction of (III) with methanesulfonyl chloride and diazomethane affords the alpha-diazoketone (IV), which is treated with dimethyldioxirane (DMDO) in acetone to provide the ketoaldehyde (V). Finally, this compound is cyclized with 11C-formaldehyde and NH4OH by means of ZnO in THF/water to yield the target labeled imidazole derivative. The intermediate ketoaldehyde (V) has also been obtained in two other ways: a) The alkylation of 2-(diethoxyacetyl)indane (VI) with ethyl iodide by means of tBu-OK in THF gives the corresponding 2-ethyl-substituted compound (VII), which is finally hydrolyzed to the desired ketoaldehyde (V) with HCl in THF/water. b) The oxidation of 2-acetyl-2-ethylindane (VIII) with SeO2 in hot acetic acid/water gives also the desired ketoaldehyde (V).

参考文献No.800908
标题:Purified rat hepatic beta2-adrenergic receptor: Structural similarities in the rat fat cell beta1-adrenergic receptor
作者:Graziano, M.P.; Maxham, C.P.; Malbon, C.C.
来源:J Biol Chem 1985,2607665-74
合成路线图解说明:

This compound can be obtained in two different ways: 1) The bromination of 1-(2-ethylindan-2-yl)-1-ethanone (I) with Br2 in ether gives 2-bromo-1-(2-ethylindan-2-yl)-1-ethanone (II), which is then cyclized with formamide by heating at 170-80 C. 2) The cyclization of alpha,alpha'-dibromo-o-xylene (III) with 4-penten-2-one (IV) by means of tetrabutylammonium hydroxide in toluene at 100 C gives 1-(2-vinylindan-2-yl)-1-ethanone (V), which is brominated with Br2 in dichloromethane to yield 2-bromo-1-(2-vinylindan-2-yl)-1-ethanone (VI). The cyclization of (VI) with formamide at 160 C as before affords 4-(2-vinylindan-2-yl)-1H-imidazole (VII), which is finally hydrogenated with H2 over Pd/C in ethanol.

Drug Information Express,Drug R&D,Chemical Database,Patent Search.
Copyright © 2006-2026 Drug Future. All rights reserved.Contact Us