【药物名称】Tirapazamine, SR-259075, NSC-130181, Win-59075, SR-4233, Tirazone
化学结构式(Chemical Structure):
参考文献No.26190
标题:3-Amino-1,2,4-benzotriazine-1,4-di-N-oxides and processes for their preparation
作者:Ley, K.; Seng, F.; Metzer, K.G. (Bayer AG)
来源:US 3868371; US 3980779; US 4001410
合成路线图解说明:

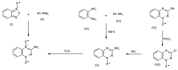
Tirapazamine can be obtained by several related ways: 1) By condensation of benzofurazan (I) with cyanamide disodium salt (II) in hot methanol/water. 2) The condensation of 2-nitroaniline (III) with cyanamide (IV) by heating at 100 C gives 3-amino-1,2,4-bezotriazine 1-oxide (V), which is then oxidized with 30% aqueous H2O2 in hot acetic acid. 3) The reaction of 3-hydroxy-1,2,4-benzotriazine 1-oxide (VI) with refluxing POCl3 and dimethylaniline gives 3-chloro-1,2,4-benzotriazine 1-oxide (VII), which by reaction with dry ammonia in ethanol is converted into the corresponding amino derivative (V), already obtained.

参考文献No.287992
标题:Tirapazamine
作者:Robinson, C.; Casta馿r, J.
来源:Drugs Fut 1995,20(3),256
合成路线图解说明:

Tirapazamine can be obtained by several related ways: 1) By condensation of benzofurazan (I) with cyanamide disodium salt (II) in hot methanol/water. 2) The condensation of 2-nitroaniline (III) with cyanamide (IV) by heating at 100 C gives 3-amino-1,2,4-bezotriazine 1-oxide (V), which is then oxidized with 30% aqueous H2O2 in hot acetic acid. 3) The reaction of 3-hydroxy-1,2,4-benzotriazine 1-oxide (VI) with refluxing POCl3 and dimethylaniline gives 3-chloro-1,2,4-benzotriazine 1-oxide (VII), which by reaction with dry ammonia in ethanol is converted into the corresponding amino derivative (V), already obtained.

参考文献No.801553
标题:Heterocyclic N-oxides. Part VI. Synthesis and nuclear magnetic resonance spectra of 3-aminobenzo-1,2,4-triazines and their mono- and di-N-oxides
作者:Tennant, G.; Mason, J.C.
来源:J Chem Soc B 1970,911
合成路线图解说明:

Tirapazamine can be obtained by several related ways: 1) By condensation of benzofurazan (I) with cyanamide disodium salt (II) in hot methanol/water. 2) The condensation of 2-nitroaniline (III) with cyanamide (IV) by heating at 100 C gives 3-amino-1,2,4-bezotriazine 1-oxide (V), which is then oxidized with 30% aqueous H2O2 in hot acetic acid. 3) The reaction of 3-hydroxy-1,2,4-benzotriazine 1-oxide (VI) with refluxing POCl3 and dimethylaniline gives 3-chloro-1,2,4-benzotriazine 1-oxide (VII), which by reaction with dry ammonia in ethanol is converted into the corresponding amino derivative (V), already obtained.

参考文献No.801554
标题:Polyazabicyclic compounds. Part II. Further derivatives of benzo-1:2:4-triazine
作者:Schofield, K.; Robbins, R.F.
来源:J Chem Soc 1957,3186
合成路线图解说明:

Tirapazamine can be obtained by several related ways: 1) By condensation of benzofurazan (I) with cyanamide disodium salt (II) in hot methanol/water. 2) The condensation of 2-nitroaniline (III) with cyanamide (IV) by heating at 100 C gives 3-amino-1,2,4-bezotriazine 1-oxide (V), which is then oxidized with 30% aqueous H2O2 in hot acetic acid. 3) The reaction of 3-hydroxy-1,2,4-benzotriazine 1-oxide (VI) with refluxing POCl3 and dimethylaniline gives 3-chloro-1,2,4-benzotriazine 1-oxide (VII), which by reaction with dry ammonia in ethanol is converted into the corresponding amino derivative (V), already obtained.

Drug Information Express,Drug R&D,Chemical Database,Patent Search.
Copyright © 2006-2026 Drug Future. All rights reserved.Contact Us