【药物名称】R-59274, CS-570
化学结构式(Chemical Structure):
参考文献No.42009
标题:Protacyclin compounds
作者:Kojima, K.; Sakai, K.; Kobayashi, S. (Sankyo Co., Ltd.)
来源:DE 2900352; FR 2414039; GB 2012265; JP 54095552
合成路线图解说明:

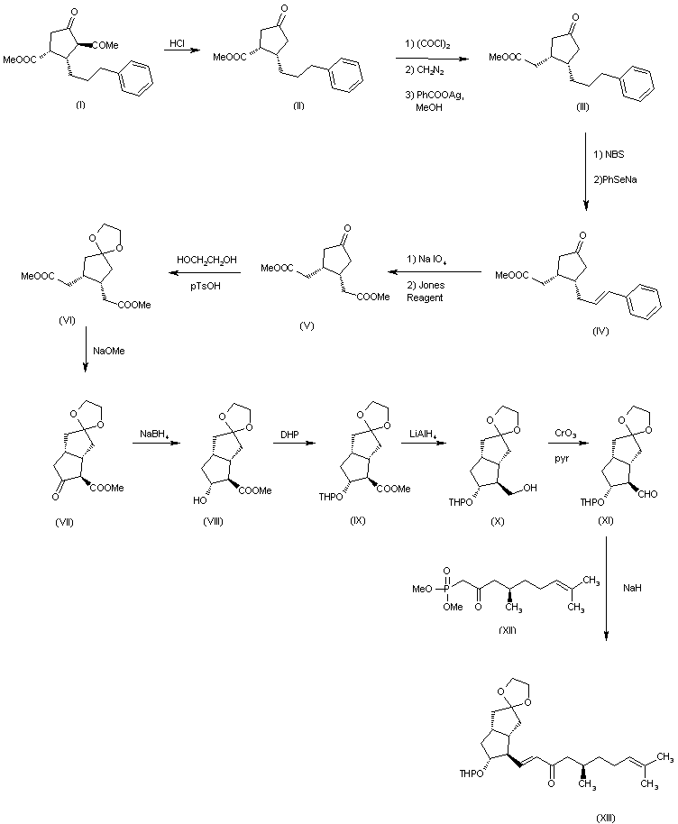
The decarboxylative hydrolysis ot 2beta,4alpha-di(methoxycarbonyl)-3alpha-(3-phenylpropyl)cyclopentanone (I) with HCl in refluxing acetic acid gives 3alpha-(3-phenylpropyl)cyclopentanone-4alpha-carboxylic acid methyl ester (II), which by successive reactions with oxalyl chloride in refluxing benzene, with diazomethane in ether, and with silver benzoate and triethylamine in methanol, is converted to 3alpha-(3-phenylpropyl)cyclopentanone-4alpha-acetic acid methyl ester (III). The dehydrogenation of (III) by reaction with N-bromosuccinimide and sodium selenobenzene in benzene and THF affords 3alpha-(3-phenyl-2-propenyl)cyclopentanone-4alpha-acetic acid methyl ester (IV), which is oxidized with sodium methaperiodate and Jones reagent, and methylated with diazomethane to give cyclopentanone 3alpha,4alpha-di(acetic acid) dimethyl ester (V). The reaction of (V) with ethyl eneglycol and p-toluenesulfonic acid yields the corresponding ketal (VI), which is submitted to a cyclization with sodium methoxide in hot methanol - DMSO to afford 7,7-ethylenedioxybicyclo[3.3.0] octan-3-one-4beta-carboxylic acid methyl ester (VII). The reduction of (VII) with NaBH4 in methanol gives the corresponding hydroxyester (VIII), which is protected with dihydropyran and p-toluenesulfonic acid to the corresponding tetrahydropyranyloxy compound (IX). The reduction of (IX) with LiAlH4 in ether affords the methanol derivative (X), which is oxidized with CrO3 - pyridine to the aldehyde (XI). The Wittig condensation of (XI) with dimethyl 2-oxo-4R,8-dimethyl-7-nonenylphosphonate (XII) by means of NaH in THF affords the dienic ketone (XIII).

合成路线图解说明:

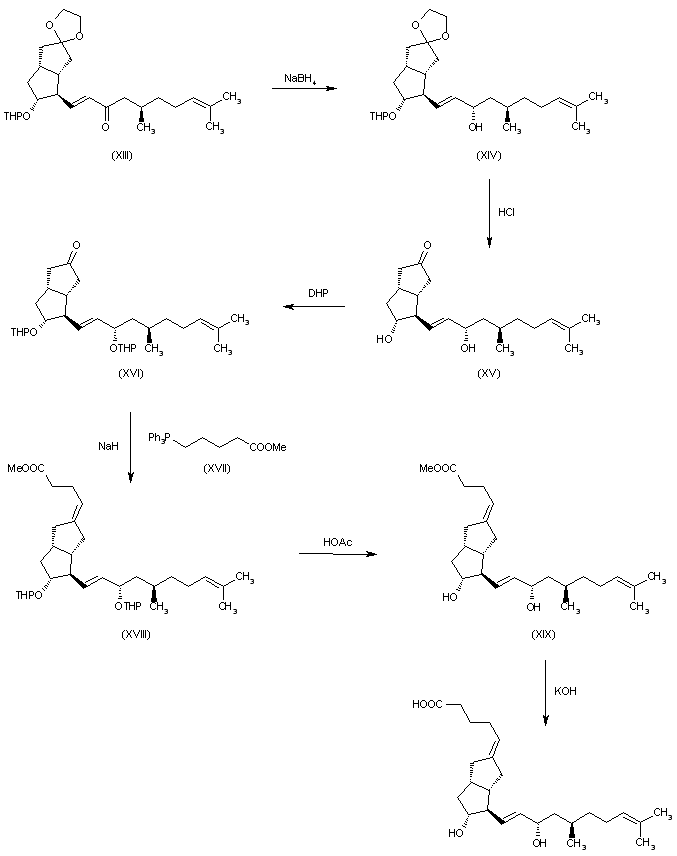
Ketone (XIII) is reduced with NaBH4 to the dienic alcohol (XIV). The hydrolysis of (XIV) with HCl in aqueous acetone gives the dihydroxyketone (XV), which is treated with dihydropyran and p-toluenesulfonic acid to afford the bistetrahydropyranyloxy derivative (XVI). The Wittig condensation of ketone (XVI) with 4-(methoxycarbonylbutyl)triphenylphosphonium bromide (XVII) by means of NaH in DMSO affords the protected carbacyclin (XVIII), which is deprotected with acetic acid in THF water yielding 17R-methyl-20-isopropylidenecarbacyclin methyl ester (XIX). Finally, this compound is saponified with KOH in aqueous methanol.

参考文献No.55556
标题:CS-570
作者:Prous, J.; Casta馿r, J.
来源:Drugs Fut 1986,11(11),918
合成路线图解说明:

The decarboxylative hydrolysis ot 2beta,4alpha-di(methoxycarbonyl)-3alpha-(3-phenylpropyl)cyclopentanone (I) with HCl in refluxing acetic acid gives 3alpha-(3-phenylpropyl)cyclopentanone-4alpha-carboxylic acid methyl ester (II), which by successive reactions with oxalyl chloride in refluxing benzene, with diazomethane in ether, and with silver benzoate and triethylamine in methanol, is converted to 3alpha-(3-phenylpropyl)cyclopentanone-4alpha-acetic acid methyl ester (III). The dehydrogenation of (III) by reaction with N-bromosuccinimide and sodium selenobenzene in benzene and THF affords 3alpha-(3-phenyl-2-propenyl)cyclopentanone-4alpha-acetic acid methyl ester (IV), which is oxidized with sodium methaperiodate and Jones reagent, and methylated with diazomethane to give cyclopentanone 3alpha,4alpha-di(acetic acid) dimethyl ester (V). The reaction of (V) with ethyl eneglycol and p-toluenesulfonic acid yields the corresponding ketal (VI), which is submitted to a cyclization with sodium methoxide in hot methanol - DMSO to afford 7,7-ethylenedioxybicyclo[3.3.0] octan-3-one-4beta-carboxylic acid methyl ester (VII). The reduction of (VII) with NaBH4 in methanol gives the corresponding hydroxyester (VIII), which is protected with dihydropyran and p-toluenesulfonic acid to the corresponding tetrahydropyranyloxy compound (IX). The reduction of (IX) with LiAlH4 in ether affords the methanol derivative (X), which is oxidized with CrO3 - pyridine to the aldehyde (XI). The Wittig condensation of (XI) with dimethyl 2-oxo-4R,8-dimethyl-7-nonenylphosphonate (XII) by means of NaH in THF affords the dienic ketone (XIII).

合成路线图解说明:

Ketone (XIII) is reduced with NaBH4 to the dienic alcohol (XIV). The hydrolysis of (XIV) with HCl in aqueous acetone gives the dihydroxyketone (XV), which is treated with dihydropyran and p-toluenesulfonic acid to afford the bistetrahydropyranyloxy derivative (XVI). The Wittig condensation of ketone (XVI) with 4-(methoxycarbonylbutyl)triphenylphosphonium bromide (XVII) by means of NaH in DMSO affords the protected carbacyclin (XVIII), which is deprotected with acetic acid in THF water yielding 17R-methyl-20-isopropylidenecarbacyclin methyl ester (XIX). Finally, this compound is saponified with KOH in aqueous methanol.

Drug Information Express,Drug R&D,Chemical Database,Patent Search.
Copyright © 2006-2026 Drug Future. All rights reserved.Contact Us