【药物名称】AT-2433 B1
化学结构式(Chemical Structure):
参考文献No.603202
标题:Regiocontrolled synthesis of the antitumor antibiotic AT2433-A1
作者:Chisholm, J.D.; Van Vranken, D.L.
来源:J Org Chem 2000,65(22),7541
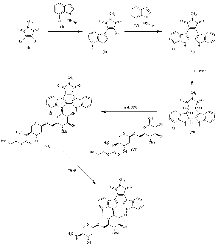
合成路线图解说明:

The Grignard condensation of pyrrolinedione (I) with 7-chloroindol-1-ylmagnesium bromide (II) in toluene gives the monoaddition product (III), which is condensed with indol-1-ylmagnesium bromide (IV) to yield the disubstituted compound (V). The hydrogenation of (V) with H2 over Pd/C in DMF affords the tetrahydro derivative (VI), which is condensed with the aminosugar (VII) in DMF and dehydrogenated with DDQ or DBU to afford the adduct (VIII). Finally, the methylamino group of (VIII) is deprotected by means of TBAF in THF.

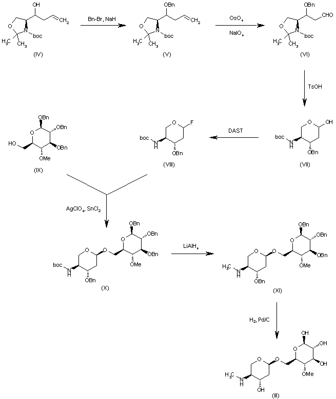
合成路线图解说明:

The intermediate aminosugar (VII) has been obtained as follows: The protection of the alcohol (IX) with Bn-Br and NaH in DMF gives the benzyl ether (X), which is oxidized with OsO4 and NaIO4 in acetone/THF to yield the aldehyde (XI). The cyclization of (XI) by means of Ts-OH in dioxane/water affords the lactol (XII), which is treated with diethylamino sulfurtrifluoride (DAST) to provide the glycosyl fluoride (XIII). The condensation of (XIII) with the benzylated glucose derivative (XIV) by means of AgClO4 and SnCl2 in THF/ethyl ether gives the disaccharide (XV). The reduction of the carbamoyl group of (XV) with LiAlH4 in refluxing THF yields the methylamino derivative (XVI), which is protected at the methylamino group with trimethylsilylethyl(p-methylphenyl)carbonate (teoc-O-PNP) to afford the carbamate (XVII). Finally, this compound is debenzylated by hydrogenation over Pd/C in ethanol/THF to afford the target aminosugar (VIII).

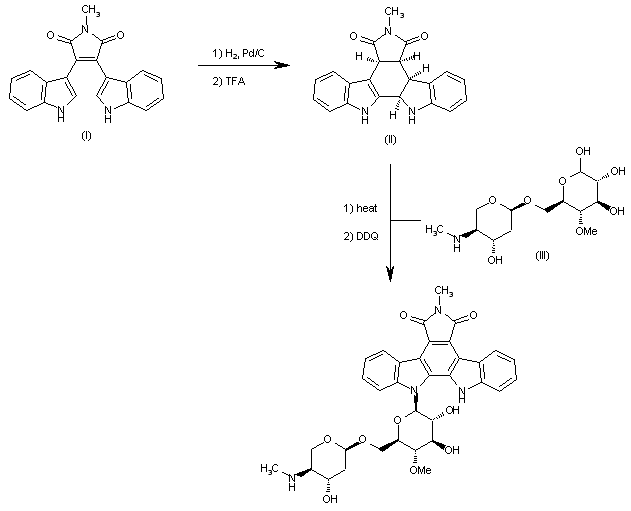
合成路线图解说明:

The cyclization of 3,4-bis(3-indolyl)-1-methylpyrroline-2,5-dione (I) by hydrogenation with H2 over Pd/C in DMF, followed by a treatment with TFA, gives the hexacyclic dione (II), which then is condensed with aminosugar (III) in refluxing methanol and dehydrogenated with DDQ in THF to afford the target glycoside.

合成路线图解说明:

The intermediate aminosugar (III) has been obtained as follows: The protection of the alcohol (IV) with Bn-Br and NaH in DMF gives the benzyl ether (V), which is oxidized with OsO4 and NaIO4 in acetone/THF to yield the aldehyde (VI). The cyclization of (VI) by means of TsOH in dioxane/water affords the lactol (VII), which is treated with diethylamino sulfurtrifluoride (DAST) to provide the glycosyl fluoride (VIII). The condensation of (VIII) with the benzylated glucose derivative (IX) by means of AgClO4 and SnCl2 in THF/ethyl ether gives the disaccharide (X). The reduction of the carbamoyl group of (X) with LiAlH4 in refluxing THF yields the methylamino derivative (XI), which is finally debenzylated by hydrogenation over Pd/C in ethanol/THF to afford the target aminosugar (III).

参考文献No.603325
标题:A caveat in the application of the excition chirality method to N, N-dialkyl amides. Synthesis and structural revision of AT2433-B1
作者:Chisholm, J.D.; et al.
来源:J Am Chem Soc 1999,121(15),3801
合成路线图解说明:

The cyclization of 3,4-bis(3-indolyl)-1-methylpyrroline-2,5-dione (I) by hydrogenation with H2 over Pd/C in DMF, followed by a treatment with TFA, gives the hexacyclic dione (II), which then is condensed with aminosugar (III) in refluxing methanol and dehydrogenated with DDQ in THF to afford the target glycoside.

Drug Information Express,Drug R&D,Chemical Database,Patent Search.
Copyright © 2006-2026 Drug Future. All rights reserved.Contact Us