【药物名称】Flesinoxan hydrochloride, DU-29373
化学结构式(Chemical Structure):
参考文献No.62381
标题:FLESINOXAN HYDROCHLORIDE < Rec INN >
作者:Hartog, J.; Wouters, W.
来源:Drugs Fut 1988,13(1),31
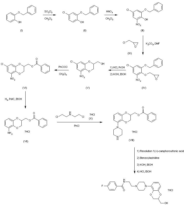
合成路线图解说明:

Flesinoxan hydrochloride is obtained in a multiple-step synthesis, including the resolution of one of the racemic intermediates (VIII), starting with the monobenzyl ether of catechol (I). Treatment of (I) with sulfuryl chloride in methylene chloride gives (II). This chloro compound is nitrated with nitric acid resulting in the mononitro derivative (III). In a one-pot procedure compound (III) is converted to the racemic benzodioxan structure (V) by condensation with epichlorohydrin, followed by treatment of the intermediate (IV) with hydrochloric acid and with potassium hydroxide, respectively. After conversion of the hydroxymethyl derivative to the benzoic ester (VI), compound (VII) can be obtained by catalytic hydrogenation of (VI). Treatment of (VII) with bischloroethylamine results in the racemic piperazine analogue (VIII). In this phase the resolution of the piperazine is carried out with (+)-camphorsulfonic acid. After several recrystallizations, the optically pure (+)-enantiomer is obtained. Reaction of this (+)-N-[2-(hydroxymethyl)-1,4-benzodioxan-5-yl]piperazine (VIII) with N-(4-fluorobenzoyl)aziridine, saponification of the benzoate ester and treatment with hydrochloric acid gives flesinoxan monohydrochloride.

参考文献No.232854
标题:The synthesis of (+)- and (-)-flesinoxan: Application of enzymatic resolution methodology
作者:Ghazal, N.B.; Ennis, M.D.
来源:Tetrahedron Lett 1992,33(42),6287
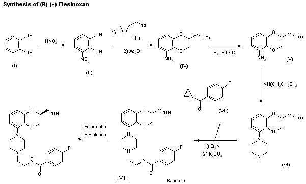
合成路线图解说明:

A synthesis of (+)-(R)-flesinoxan has been described: The nitration of pyrocatechol (I) with nitric acid gives 3-nitrocatechol (II), which is cyclized with epichlorohydrin (III) and acylated with acetic anhydride, yielding 2-(acetoxymethyl)-5-nitro-1,4-benzodioxan (IV). The reduction of (IV) with H2 over Pd/C in ethanol affords the corresponding amine (V), which is cyclized with bis(2-chloroethyl)amine in refluxing chlorobenzene to afford the piperazine (VI). The reaction of (VI) with N-(4-fluorobenzoyl)aziridine (VII) by means of triethylamine in refluxing acetone gives racemic flesinoxan (VIII), which is then submitted to a carefully controlled enzymatic acetylation with Amano P-30 lipase, which acetylates the (R)-isomer selectively. After separation of the nonesterified compound, the acetate is hydrolyzed to give an enriched product, which is submitted to a new enzymatic esterification to improve the optical purity.

Drug Information Express,Drug R&D,Chemical Database,Patent Search.
Copyright © 2006-2026 Drug Future. All rights reserved.Contact Us