【药物名称】NSC-624548, HO-221
化学结构式(Chemical Structure):
参考文献No.4720
标题:Benzoyl urea cpds., process for their production,
作者:Haga, T.; Kondo, N.; Koyanagi, T.; Nakajima, T.; Sugi, H.; Watanabe, M.; Yamada, N.; Yokoyama, K. (Ishihara Sangyo Kaisha, Ltd.)
来源:CH 671576; EP 0192235; FR 2577551; GB 2171695; US 4727077
合成路线图解说明:

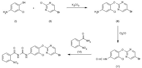
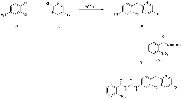
1) The condensation of 4-amino-2-chlorophenol (I) with 5 bromo-2-chloropyrimidine (II) by means of K2CO3 in hot DMSO gives 4-(5-bromo-2-pyrimidinyloxy)-3-chloroaniline (III), which is then condensed with 2-nitrobenzoyl isocyanate (IV) in dioxane.

合成路线图解说明:

2) The reaction of aniline (III) with phosgene in ethyl acetate gives 4-(5-bromo-2-pyrimidinyloxy)-3-chlorophenyl isocyanate (V), which is then condensed with 2-nitrobenzamide (VI) in refluxing toluene.

合成路线图解说明:

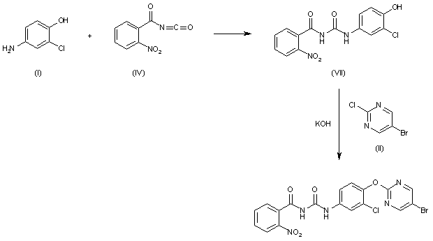
3) The reaction of aminophenol (I) with isocyanate (IV) in dioxane gives N-(2-nitrobenzoyl(-N'-(3-chloro-4-hydroxyphenyl)urea (VII), which is then condensed with pyrimidine (II) by means of KOH in hot DMSO.

参考文献No.68067
标题:HO-221
作者:Hoshi, A.; Prous, J.; Casta馿r, J.
来源:Drugs Fut 1988,13(9),822
合成路线图解说明:

1) The condensation of 4-amino-2-chlorophenol (I) with 5 bromo-2-chloropyrimidine (II) by means of K2CO3 in hot DMSO gives 4-(5-bromo-2-pyrimidinyloxy)-3-chloroaniline (III), which is then condensed with 2-nitrobenzoyl isocyanate (IV) in dioxane.

合成路线图解说明:

2) The reaction of aniline (III) with phosgene in ethyl acetate gives 4-(5-bromo-2-pyrimidinyloxy)-3-chlorophenyl isocyanate (V), which is then condensed with 2-nitrobenzamide (VI) in refluxing toluene.

合成路线图解说明:

3) The reaction of aminophenol (I) with isocyanate (IV) in dioxane gives N-(2-nitrobenzoyl(-N'-(3-chloro-4-hydroxyphenyl)urea (VII), which is then condensed with pyrimidine (II) by means of KOH in hot DMSO.

Drug Information Express,Drug R&D,Chemical Database,Patent Search.
Copyright © 2006-2026 Drug Future. All rights reserved.Contact Us