【药物名称】Flavoneacetic acid, Mitoflaxone, CRC-85/31, LM-975, FAA, NSC-347512
化学结构式(Chemical Structure):
参考文献No.40000
标题:8-Haloalkyl-4H-(1)-benzopyran-4-ones and preparati
作者:Berthelon, J.-J.; Collonges, F.; Briet, P. (Lipha Sant?
来源:EP 0080419
合成路线图解说明:

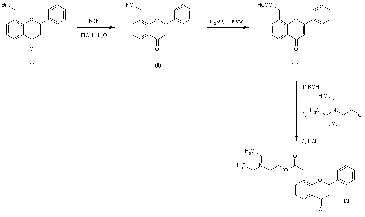
Treatment of 8-bromomethyl-2-phenylflavone (I) with KCN in EtOH-H2O for 3 h gives the nitrile intermediate (II) (m.p. 165-7 C) in 67% yield, which in diluted acetic-sulfuric acid is hydrolyzed to flavoneacetic acid (III) in 88% yield. On refluxing the potassium salt of the acid with 2-diethylaminoethyl chloride in acetone for 4 h, followed by converting the resulting ester to the hydrochloride salt, the diethylaminoethyl ester of flavoneacetic acid (m.p. 186 C) is produced in 70% yield.

参考文献No.40001
标题:(Oxo-4-4H-(1)-benzopyran-8-yl) alkanoic acids, sal
作者:Berthelon, J.-J.; Collonges, F.; Briet, P. (Lipha Sant?
来源:EP 0080934; US 4602034
合成路线图解说明:

Treatment of 8-bromomethyl-2-phenylflavone (I) with KCN in EtOH-H2O for 3 h gives the nitrile intermediate (II) (m.p. 165-7 C) in 67% yield, which in diluted acetic-sulfuric acid is hydrolyzed to flavoneacetic acid (III) in 88% yield. On refluxing the potassium salt of the acid with 2-diethylaminoethyl chloride in acetone for 4 h, followed by converting the resulting ester to the hydrochloride salt, the diethylaminoethyl ester of flavoneacetic acid (m.p. 186 C) is produced in 70% yield.

参考文献No.40002
标题:8-Haloalkyl-4H-1-benzopyran-4-ones and methods of
作者:Berthelon, J.-J.; Collonges, F.; Briet, P. (Lipha Sant?
来源:FR 2536396
合成路线图解说明:

Treatment of 8-bromomethyl-2-phenylflavone (I) with KCN in EtOH-H2O for 3 h gives the nitrile intermediate (II) (m.p. 165-7 C) in 67% yield, which in diluted acetic-sulfuric acid is hydrolyzed to flavoneacetic acid (III) in 88% yield. On refluxing the potassium salt of the acid with 2-diethylaminoethyl chloride in acetone for 4 h, followed by converting the resulting ester to the hydrochloride salt, the diethylaminoethyl ester of flavoneacetic acid (m.p. 186 C) is produced in 70% yield.

参考文献No.55392
标题:Flavoneacetic acid
作者:Cheng, C.C.; Zee-Cheng, R.K.-Y.
来源:Drugs Fut 1987,12(2),123
合成路线图解说明:

Treatment of 8-bromomethyl-2-phenylflavone (I) with KCN in EtOH-H2O for 3 h gives the nitrile intermediate (II) (m.p. 165-7 C) in 67% yield, which in diluted acetic-sulfuric acid is hydrolyzed to flavoneacetic acid (III) in 88% yield. On refluxing the potassium salt of the acid with 2-diethylaminoethyl chloride in acetone for 4 h, followed by converting the resulting ester to the hydrochloride salt, the diethylaminoethyl ester of flavoneacetic acid (m.p. 186 C) is produced in 70% yield.

参考文献No.547095
标题:Synthesis and antitumor activity of some 8-substit
作者:Briet, P.; Berthelon, J.J.; Collonges, F.; Atassi, G.
来源:Eur J Med Chem 1985,20393
合成路线图解说明:

Treatment of 8-bromomethyl-2-phenylflavone (I) with KCN in EtOH-H2O for 3 h gives the nitrile intermediate (II) (m.p. 165-7 C) in 67% yield, which in diluted acetic-sulfuric acid is hydrolyzed to flavoneacetic acid (III) in 88% yield. On refluxing the potassium salt of the acid with 2-diethylaminoethyl chloride in acetone for 4 h, followed by converting the resulting ester to the hydrochloride salt, the diethylaminoethyl ester of flavoneacetic acid (m.p. 186 C) is produced in 70% yield.

Drug Information Express,Drug R&D,Chemical Database,Patent Search.
Copyright © 2006-2026 Drug Future. All rights reserved.Contact Us