【药物名称】8-Hydroxycarteolol
化学结构式(Chemical Structure):
参考文献No.701398
标题:
作者:Nakagawa, K.; et al.
来源:US 4072683
合成路线图解说明:

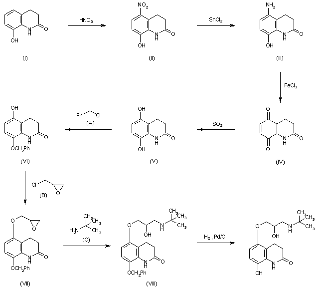
The nitration of 8-hydroxy-3,4-dihydrocarbostyril (I) with HNO3 in acetic acid-acetic anhydride gives 5-nitro-8-hydroxy-3,4-dihydrocarbostyril (II), which is reduced with SnCl2 in concentrated HCl yielding 5-amino-8-hydroxy-3,4-dihydrocarbostyril (III). The oxidation of (III) with FeCl3 in aqueous HCl affords 5,8-dioxo-3,4,5,8-tetrahydrocarbostyril (IV), which by treatment with SO2 in water is converted into 5,8-dihydroxy-3,4-dihydrocarbostyril (V). The treatment of (V) with benzyl chloride (A) and potassium carbonate in acetone gives 5-hydroxy-8-benzyloxy-3,4-dihydrocarbostyril (VII), which by reaction with epichlorohydrin (B) by means of piperidine affords 8-benzyloxy-5-(2,3-epoxypropoxy)-3,4-dihydrocarbostyril (VII). The opening of the epoxide ring of (VII) with tert-butylamine (C) in methanol yields 8-benzyloxy-5-(3-tert-butylamino-2-hydroxypropoxy)-3,4-dihydrocarbostyril (VIII) (1,2), which is finally hydrogenated with H2 over Pd/C.

参考文献No.800485
标题:Synthesis of 5-(3-tert-butylamino-2-hydroxypropxy)-8-3,4-dihydrocarbostyril hydochloride and its beta-adrenergic blocking agent
作者:Uchida, M.; et al.
来源:Yakugaku Zasshi 1976,96(5),571-577
合成路线图解说明:

The nitration of 8-hydroxy-3,4-dihydrocarbostyril (I) with HNO3 in acetic acid-acetic anhydride gives 5-nitro-8-hydroxy-3,4-dihydrocarbostyril (II), which is reduced with SnCl2 in concentrated HCl yielding 5-amino-8-hydroxy-3,4-dihydrocarbostyril (III). The oxidation of (III) with FeCl3 in aqueous HCl affords 5,8-dioxo-3,4,5,8-tetrahydrocarbostyril (IV), which by treatment with SO2 in water is converted into 5,8-dihydroxy-3,4-dihydrocarbostyril (V). The treatment of (V) with benzyl chloride (A) and potassium carbonate in acetone gives 5-hydroxy-8-benzyloxy-3,4-dihydrocarbostyril (VII), which by reaction with epichlorohydrin (B) by means of piperidine affords 8-benzyloxy-5-(2,3-epoxypropoxy)-3,4-dihydrocarbostyril (VII). The opening of the epoxide ring of (VII) with tert-butylamine (C) in methanol yields 8-benzyloxy-5-(3-tert-butylamino-2-hydroxypropoxy)-3,4-dihydrocarbostyril (VIII) (1,2), which is finally hydrogenated with H2 over Pd/C.

合成路线图解说明:

The diketone (IV) can also be obtained as follows: the nitration of 5-hydroxy-3,4-dihydrocarbostyril (IX) with HNO3 in acetic acid - acetic anhydride gives 5-hydroxy-8-nitro-3,4-dihydrocarbostyril (X), which is reduced with H2 over Pd/C affording 5-hydroxy-8-amino-3,4-dihydrocarbostyril (Xl). Finally, this compound is oxidized with FeCl3 in aqueous HCl.

合成路线图解说明:

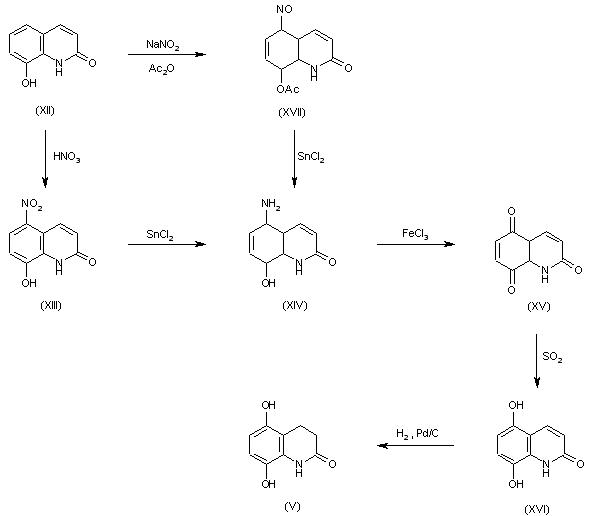
The dihydroxy compound (V) can also be obtained as follows: the nitration of 8-hydroxycarbostyril (XII) with HNO3 in acetic acid-acetic anhydride gives 5-nitro-8-hydroxycarbostyril (XIII), which is reduced with SnCl2 yielding 5-amino-8-hydroxycarbostyril (XIV). The oxidation of (XIV) with FeCl3 affords 5,8-dioxo-5,8-dihydrocarbostyril (XV), which is reduced with SO2 giving 5,8-dihydroxycarbostyril (XVI). Finally, this compound is reduced with H2 over Pd/C. The 5-amino-8-hydroxy compound (XIV) can also be obtained by nitrosation of (XII) with NaNO2 in acetic acid acetic anhydride to give 5-nitroso-8-acetoxycarbostyril (XVII), which is then reduced with SnCl2 in concentrated HCl.

参考文献No.800486
标题:8-Hydroxycarteolol
作者:Casta馿r, J.; Blancafort, P.; Serradell, M.N.
来源:Drugs Fut 1980,5(2),78
合成路线图解说明:

The nitration of 8-hydroxy-3,4-dihydrocarbostyril (I) with HNO3 in acetic acid-acetic anhydride gives 5-nitro-8-hydroxy-3,4-dihydrocarbostyril (II), which is reduced with SnCl2 in concentrated HCl yielding 5-amino-8-hydroxy-3,4-dihydrocarbostyril (III). The oxidation of (III) with FeCl3 in aqueous HCl affords 5,8-dioxo-3,4,5,8-tetrahydrocarbostyril (IV), which by treatment with SO2 in water is converted into 5,8-dihydroxy-3,4-dihydrocarbostyril (V). The treatment of (V) with benzyl chloride (A) and potassium carbonate in acetone gives 5-hydroxy-8-benzyloxy-3,4-dihydrocarbostyril (VII), which by reaction with epichlorohydrin (B) by means of piperidine affords 8-benzyloxy-5-(2,3-epoxypropoxy)-3,4-dihydrocarbostyril (VII). The opening of the epoxide ring of (VII) with tert-butylamine (C) in methanol yields 8-benzyloxy-5-(3-tert-butylamino-2-hydroxypropoxy)-3,4-dihydrocarbostyril (VIII) (1,2), which is finally hydrogenated with H2 over Pd/C.

合成路线图解说明:

The diketone (IV) can also be obtained as follows: the nitration of 5-hydroxy-3,4-dihydrocarbostyril (IX) with HNO3 in acetic acid - acetic anhydride gives 5-hydroxy-8-nitro-3,4-dihydrocarbostyril (X), which is reduced with H2 over Pd/C affording 5-hydroxy-8-amino-3,4-dihydrocarbostyril (Xl). Finally, this compound is oxidized with FeCl3 in aqueous HCl.

合成路线图解说明:

The dihydroxy compound (V) can also be obtained as follows: the nitration of 8-hydroxycarbostyril (XII) with HNO3 in acetic acid-acetic anhydride gives 5-nitro-8-hydroxycarbostyril (XIII), which is reduced with SnCl2 yielding 5-amino-8-hydroxycarbostyril (XIV). The oxidation of (XIV) with FeCl3 affords 5,8-dioxo-5,8-dihydrocarbostyril (XV), which is reduced with SO2 giving 5,8-dihydroxycarbostyril (XVI). Finally, this compound is reduced with H2 over Pd/C. The 5-amino-8-hydroxy compound (XIV) can also be obtained by nitrosation of (XII) with NaNO2 in acetic acid acetic anhydride to give 5-nitroso-8-acetoxycarbostyril (XVII), which is then reduced with SnCl2 in concentrated HCl.

Drug Information Express,Drug R&D,Chemical Database,Patent Search.
Copyright © 2006-2026 Drug Future. All rights reserved.Contact Us