【药物名称】Bidisomide, SC-40230
化学结构式(Chemical Structure):
参考文献No.83445
标题:Synthesis and structure-activity relationships of new series of antiarrhythmic agents: Monobasic derivatives of disobutamide
作者:Chorvat, R.J.; Rorig, K.J.; Fowler, K.W.; Frederick, L.G.; Desai, B.N.; Garthwaite, S.M.; Hatley, F.R.
来源:J Med Chem 1988,312158
合成路线图解说明:

The alkylation of the alpha-N-piperidinylethyl derivative of the 2-chlorophenylacetonitrile (I) with N-benzyl-N-isopropylaminoethyl chloride (II) (4) and sodium amide in refluxing toluene gives (rac)-alpha-(2-chlorophenyl)-alpha-[2-[(1-methylethyl)(phenylmethyl) amino]ethyl]-1-piperidinebutanenitrile (III). Hydration of the nitrile (III) with sulfuric acid provided (rac)-alpha-[1-[(1-methylethyl)(phenylmethyl)amino]ethyl]-1-piperidinebutanamide (IV), and subsequent catalytic hydrogenolysis of the N-benzyl group yielded (rac)-alpha-(2-chlorophenyl)-alpha-[(1-methylethyl)amino]ethyl] piperidinebutanamide (V). Final acylation of the secondary amine (V) with acetyl chloride in chloroform in the presence of triethylamine was carried out at 0 C to provide bidisomide (SC-40230).

参考文献No.172948
标题:Bidisomide
作者:Cook, C.S.; Claypool, W.D.Garthwaite, S.M.; Desai, B.N.
来源:Drugs Fut 1992,17(5),374
合成路线图解说明:

The alkylation of the alpha-N-piperidinylethyl derivative of the 2-chlorophenylacetonitrile (I) with N-benzyl-N-isopropylaminoethyl chloride (II) (4) and sodium amide in refluxing toluene gives (rac)-alpha-(2-chlorophenyl)-alpha-[2-[(1-methylethyl)(phenylmethyl) amino]ethyl]-1-piperidinebutanenitrile (III). Hydration of the nitrile (III) with sulfuric acid provided (rac)-alpha-[1-[(1-methylethyl)(phenylmethyl)amino]ethyl]-1-piperidinebutanamide (IV), and subsequent catalytic hydrogenolysis of the N-benzyl group yielded (rac)-alpha-(2-chlorophenyl)-alpha-[(1-methylethyl)amino]ethyl] piperidinebutanamide (V). Final acylation of the secondary amine (V) with acetyl chloride in chloroform in the presence of triethylamine was carried out at 0 C to provide bidisomide (SC-40230).

参考文献No.607204
标题:Synthesis and antiarrhythmic activity of alpha-bis[(dialkylamino)alkyl]phenylacetamides
作者:Yonan, P.K.; Novotney, R.L.; Woo, C.M.; Prodan, K.A.; Hershenson, F.
来源:J Med Chem 1980,23(10),1102
合成路线图解说明:

The alkylation of the alpha-N-piperidinylethyl derivative of the 2-chlorophenylacetonitrile (I) with N-benzyl-N-isopropylaminoethyl chloride (II) (4) and sodium amide in refluxing toluene gives (rac)-alpha-(2-chlorophenyl)-alpha-[2-[(1-methylethyl)(phenylmethyl) amino]ethyl]-1-piperidinebutanenitrile (III). Hydration of the nitrile (III) with sulfuric acid provided (rac)-alpha-[1-[(1-methylethyl)(phenylmethyl)amino]ethyl]-1-piperidinebutanamide (IV), and subsequent catalytic hydrogenolysis of the N-benzyl group yielded (rac)-alpha-(2-chlorophenyl)-alpha-[(1-methylethyl)amino]ethyl] piperidinebutanamide (V). Final acylation of the secondary amine (V) with acetyl chloride in chloroform in the presence of triethylamine was carried out at 0 C to provide bidisomide (SC-40230).

参考文献No.659655
标题:A new and improved synthesis of bidisomide
作者:Awasthi, A.K.; Paul, K.
来源:Org Process Res Dev 2001,5(5),528
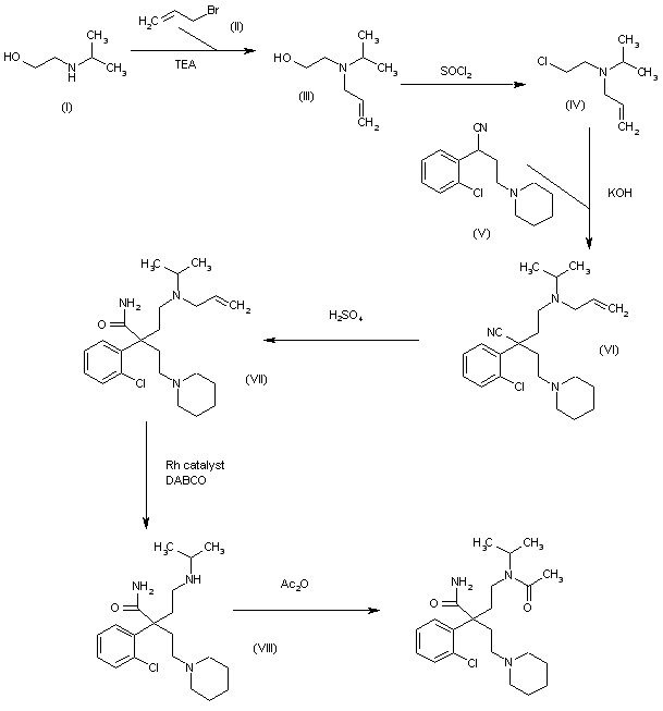
合成路线图解说明:

The reaction of N-isopropylethanolamine (I) with allyl bromide (II) in THF gives the secondary amine (III), which is treated with SOCl2 in dichloromethane to yield the chloroethylamine (IV). The condensation of (IV) with 2-(2-chlorophenyl)-4-(1-piperidinyl)butyronitrile (V) by means of KOH in DMSO affords the adduct (VI), whose nitrile group is hydrolyzed with H2SO4 to provide the corresponding amide (VII). The elimination of the allyl group of (VII) by means of a Rh catalyst and 1,4-diazabicyclo[2,2,2]octane (DABCO) in refluxing aqueous ethanol gives the secondary amine (VIII), which is finally acetylated with Ac2O in ethyl acetate to yield the target diamide.

参考文献No.900022
标题:Monobasic derivatives of disobutamide
作者:Desai, B.N.; Chorvat, R.J.; Rorig, K.J. (G.D. Searle & Co.)
来源:US 4639524
合成路线图解说明:

The alkylation of the alpha-N-piperidinylethyl derivative of the 2-chlorophenylacetonitrile (I) with N-benzyl-N-isopropylaminoethyl chloride (II) (4) and sodium amide in refluxing toluene gives (rac)-alpha-(2-chlorophenyl)-alpha-[2-[(1-methylethyl)(phenylmethyl) amino]ethyl]-1-piperidinebutanenitrile (III). Hydration of the nitrile (III) with sulfuric acid provided (rac)-alpha-[1-[(1-methylethyl)(phenylmethyl)amino]ethyl]-1-piperidinebutanamide (IV), and subsequent catalytic hydrogenolysis of the N-benzyl group yielded (rac)-alpha-(2-chlorophenyl)-alpha-[(1-methylethyl)amino]ethyl] piperidinebutanamide (V). Final acylation of the secondary amine (V) with acetyl chloride in chloroform in the presence of triethylamine was carried out at 0 C to provide bidisomide (SC-40230).

Drug Information Express,Drug R&D,Chemical Database,Patent Search.
Copyright © 2006-2026 Drug Future. All rights reserved.Contact Us