【药物名称】Loxistatin, Aloxistatin, E-64-d, EST, Estate
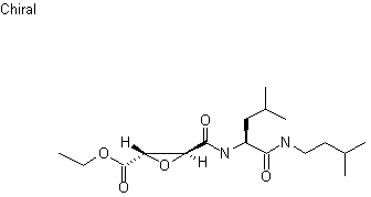
化学结构式(Chemical Structure):
参考文献No.4496
标题:Trans-epoxysuccinic acid derivative
作者:Soda, K.; et al. (Taisho Pharmaceutical Co., Ltd.)
来源:JP 60174777
合成路线图解说明:

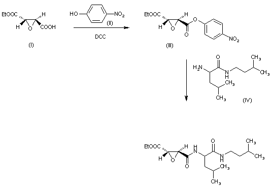
The estrification of L-trans-epoxysuccinic acid hemi-ethyl ester (I) with 4-nitrophenol (II) by means of dicyclohexylcarbodiimide (DCC) gives the corresponding p-nitrophenyl ester (III), which is then condensed with N-isoamyl L-leucinamide (IV).

参考文献No.55148
标题:EST
作者:Casta馿r, J.; Prous, J.
来源:Drugs Fut 1986,11(11),927
合成路线图解说明:

The estrification of L-trans-epoxysuccinic acid hemi-ethyl ester (I) with 4-nitrophenol (II) by means of dicyclohexylcarbodiimide (DCC) gives the corresponding p-nitrophenyl ester (III), which is then condensed with N-isoamyl L-leucinamide (IV).

合成路线图解说明:

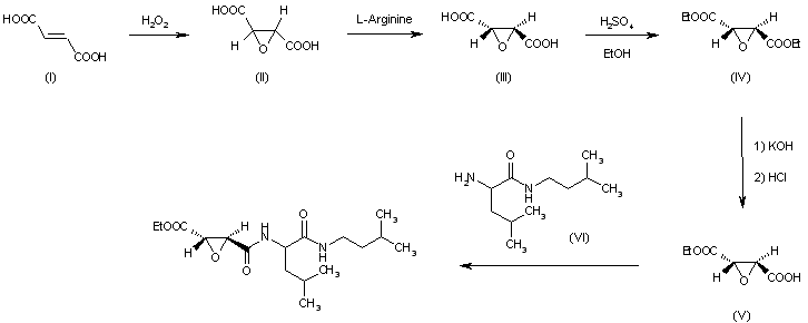
The synthesis of [14 C]-EST has been described ac cording to the following procedure: The oxidation of fumaric acid (I) with H2O2 gives trans-epoxysuccinic acid (II), which is submitted to optical resolution by means of its salt with L-arginine. The L-trans isomer (III) is esterified with ethanol and H2SO4 to the corresponding diethyl ester (IV), which is hydrolyzed selectively with KOH, affording the monoethyl ester (V). Finally, this monoester 5 condensed with N-isoamyl-L-leucinamide (VI).

参考文献No.700385
标题:In vivo actions of EST (reort 1) - Absorption and excretion of 14C-EST
作者:Fukushima, K.; et al.
来源:Kiso To Rinsho 1986,20(4),319
合成路线图解说明:

The synthesis of [14 C]-EST has been described ac cording to the following procedure: The oxidation of fumaric acid (I) with H2O2 gives trans-epoxysuccinic acid (II), which is submitted to optical resolution by means of its salt with L-arginine. The L-trans isomer (III) is esterified with ethanol and H2SO4 to the corresponding diethyl ester (IV), which is hydrolyzed selectively with KOH, affording the monoethyl ester (V). Finally, this monoester 5 condensed with N-isoamyl-L-leucinamide (VI).

Drug Information Express,Drug R&D,Chemical Database,Patent Search.
Copyright © 2006-2026 Drug Future. All rights reserved.Contact Us