【药物名称】Pobilukast, SK&F-104353-Q(as edamide, monohydrate), SK&F-104353-Z2(diNa salt), SK&F-104353
化学结构式(Chemical Structure):
参考文献No.105549
标题:High affinity leukotriene receptor antagonists. Synthesis and pharmacological characterization of 2-hydroxy-3-(2-carboxy-ethylthio)-3-[2-(8-phenoyloctyl)propanoic acids
作者:Gleason, J.G.; Hall, R.F.; Perchonock, C.D.; et al.
来源:J Med Chem 1987,30(6),959-61
合成路线图解说明:

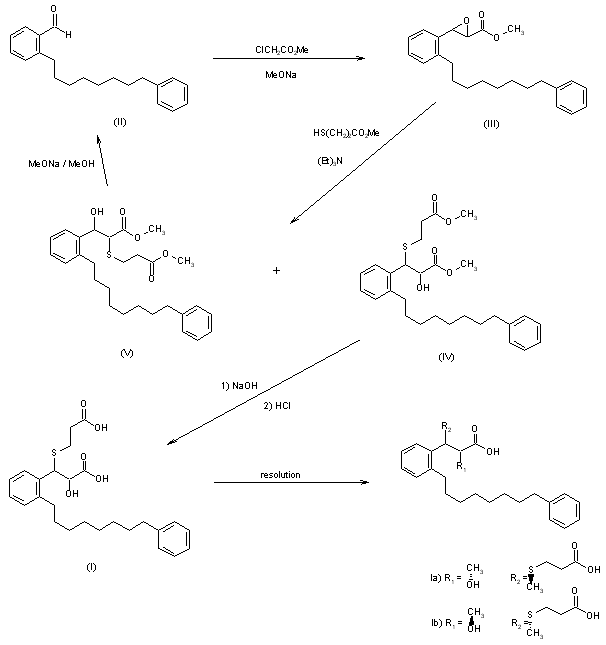
The synthesis of SK&F 104353 (Ia) was carried out as follows: Darzens condensation of 2-(8-phenyloctyl)benzaldehyde (II) with methyl chloroacetate afforded the trans-epoxide (III), which was opened with methyl mercaptopropionate to give a mixture of regioisomers (IV) and (V). Reaction of this mixture of regioisomers with sodium methoxide produced a mixture of (IV) and starting material (II), which was readily separated by chromatography. Sodium hydroxide saponification of diester (IV) afforded the racemic diacid (I), which was resolved as the alpha-methyl-4-bromobenzylamine salt to give, after conversion to the respective free acids, the enantiomers (Ia) and (Ib).

参考文献No.115228
标题:SK&F-104353
作者:Hay, D.W.P.; Newton, J.F.; Torphy, T.J.; Gleason, J.G.
来源:Drugs Fut 1990,15(3),240
合成路线图解说明:

The synthesis of SK&F 104353 (Ia) was carried out as follows: Darzens condensation of 2-(8-phenyloctyl)benzaldehyde (II) with methyl chloroacetate afforded the trans-epoxide (III), which was opened with methyl mercaptopropionate to give a mixture of regioisomers (IV) and (V). Reaction of this mixture of regioisomers with sodium methoxide produced a mixture of (IV) and starting material (II), which was readily separated by chromatography. Sodium hydroxide saponification of diester (IV) afforded the racemic diacid (I), which was resolved as the alpha-methyl-4-bromobenzylamine salt to give, after conversion to the respective free acids, the enantiomers (Ia) and (Ib).

参考文献No.236472
标题:A practical, enantioselective synthesis of SK&F 104353
作者:Flisak, J.R.; Lantos, I.; Snyder, L.; Gombatz, K.J.; Mendelson, W.L.; Jarmas, A.A.; Holmes, M.M.; Remich, J.J.; Novack, V.J.
来源:J Org Chem 1993,58(23),6247
合成路线图解说明:

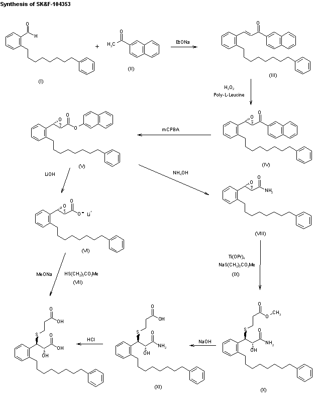
A new enantioselective synthesis of SK&F-104353 has been reported: The compound can be prepared in two related ways: 1) The condensation of 2-(8-phenyloctyl)benzaldehyde (I) with 2'-acetonaphthone (II) by means of NaOEt in ethanol gives (E)-1-(2-naphthyl)-3-[2-(8-phenyloctyl)phenyl]-2-propen-1-one (III), which is regioselectively epoxidized with H2O2 and poly-L-leucine in hexane/water to yield the corresponding (2R-trans)-epoxide (IV). The oxidation of (IV) with m-chloroperbenzoic acid in CH2Cl2 affords (2R-trans)-3-[2-(8-phenyloctyl)phenyl]oxirane-2-carboxylic acid 2-naphthyl ester (V), which is hydrolyzed with LiOH in ethanol to the corresponding lithium salt (VI). Finally, (VI) is condensed with 3-mercaptopropionic acid methyl ester (VII) by means of NaOMe in methanol to give a mixture of regioisomers that are separated by column chromatography. 2) The reaction of the oxiranyl ester (V) with ammonia in acetone/water yields the corresponding amide (VIII), which is condensed with the sodium salt of propenoate (VII) by means of titanium tetrapropoxide in CH2Cl2 to afford the amide ester (X). The basic hydrolysis of (X) with NaOH in methanol gives the corresponding acid amide (XI), which is finally submitted to acid hydrolysis with aqueous HCl.

Drug Information Express,Drug R&D,Chemical Database,Patent Search.
Copyright © 2006-2026 Drug Future. All rights reserved.Contact Us