【药物名称】NSC-370875, D-15413
化学结构式(Chemical Structure):
参考文献No.55093
标题:D-15413
作者:Schneider, M.R.; von Angerer, E.; Prekajac, J.
来源:Drugs Fut 1986,11(12),1023
合成路线图解说明:

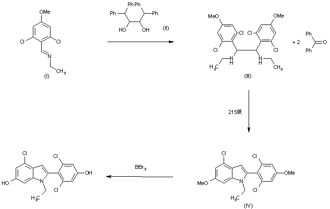
The synthesis of title compound is performed as outlined in Scheme: Diastereomeric 1,2-bis(2,6-dichloro-4-methoxyphenyl)- 1-2-bis(ethylamino)ethane (III) is synthesized by reductive dimerization of 2,6-dichloro-4-methoxybenzaldehyde ethylimine (I) using 1,1,2,2-tetraphenylethanediol (II). Separation of the diastereomers is accomplished by crystallization. Thermolysis of (III) at 215 C affords 4-chloro-2-(2,6-dichloro-4-methoxyphenyl)-1-ethyl-6-methoxyindole (IV). The free phenolic compound D-15413 is obtained by ether cleavage with BBr3 and recrystallization from aqueous MeOH.

参考文献No.555588
标题:2-(Hydroxyphenyl)indoles: A new class of mammary tumor inhibiting compounds
作者:von Angerer, E.; Prekajac, J.
来源:J Med Chem 1983,26(1),113
合成路线图解说明:

The synthesis of title compound is performed as outlined in Scheme: Diastereomeric 1,2-bis(2,6-dichloro-4-methoxyphenyl)- 1-2-bis(ethylamino)ethane (III) is synthesized by reductive dimerization of 2,6-dichloro-4-methoxybenzaldehyde ethylimine (I) using 1,1,2,2-tetraphenylethanediol (II). Separation of the diastereomers is accomplished by crystallization. Thermolysis of (III) at 215 C affords 4-chloro-2-(2,6-dichloro-4-methoxyphenyl)-1-ethyl-6-methoxyindole (IV). The free phenolic compound D-15413 is obtained by ether cleavage with BBr3 and recrystallization from aqueous MeOH.

Drug Information Express,Drug R&D,Chemical Database,Patent Search.
Copyright © 2006-2026 Drug Future. All rights reserved.Contact Us