【药物名称】RS-04, RS-481, RS-0481
化学结构式(Chemical Structure):
参考文献No.63023
标题:RS-0481
作者:Casta馿r, J.; Prous, J.
来源:Drugs Fut 1988,13(7),627
合成路线图解说明:

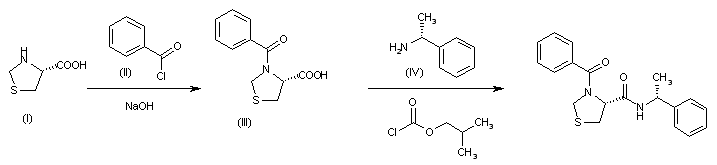
The benzoylation of thiazolidine-4(R)-carboxylic acid (I) with benzoyl chloride (II) by means of NaOH in acetone water gives the corresponding N-benzoyl derivative (III), which is then condensed with alpha-(R)-methylbenzylamine (IV) by means of isobutyl chloroformate and triethylamine in dichloromethane.

参考文献No.900148
标题:Amino acid derivatives having anti-tumor activity and compositions containing them.
作者:Matsui, T.; Nagano, M.; KLitamura, K.; Shimizu, F. (Sankyo Co., Ltd.)
来源:EP 0173441; ES 8703830; US 4904680
合成路线图解说明:

The benzoylation of thiazolidine-4(R)-carboxylic acid (I) with benzoyl chloride (II) by means of NaOH in acetone water gives the corresponding N-benzoyl derivative (III), which is then condensed with alpha-(R)-methylbenzylamine (IV) by means of isobutyl chloroformate and triethylamine in dichloromethane.

Drug Information Express,Drug R&D,Chemical Database,Patent Search.
Copyright © 2006-2026 Drug Future. All rights reserved.Contact Us