【药物名称】Vintoperol, RT-3003, RGH-2981
化学结构式(Chemical Structure):
参考文献No.55074
标题:RGH-2981
作者:N骻r醖i, M.
来源:Drugs Fut 1986,11(10),853
合成路线图解说明:

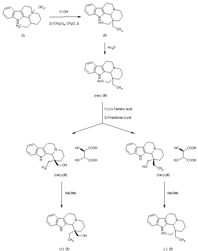
Conversion of racemic 1-ethyl-2,3,4,6,7,10-hexahydroindolo[2,3-a] quinolizine (I), an intermediate in the synthesis of vincamine, to the base and reaction of the latter with paraformaldehyde gives the 1-hydroxymethyl compound (II), which is acetylated to give the acetate (III). (III) is separated to its enantiomers by salt formation with (+)- (2R,3R)-tartaric acid, followed by fractional crystallization. Treatment of the separated tartrates with sodium methoxide gives the optically active bases, i.e., (+)-(II) and (-) (II) (RGH-2981).

参考文献No.700318
标题:
作者:Somogyi, A.; Rohner, H.-G.; Gugler, R.
来源:J Org Chem 1985,50(1),3760
合成路线图解说明:

Conversion of racemic 1-ethyl-2,3,4,6,7,10-hexahydroindolo[2,3-a] quinolizine (I), an intermediate in the synthesis of vincamine, to the base and reaction of the latter with paraformaldehyde gives the 1-hydroxymethyl compound (II), which is acetylated to give the acetate (III). (III) is separated to its enantiomers by salt formation with (+)- (2R,3R)-tartaric acid, followed by fractional crystallization. Treatment of the separated tartrates with sodium methoxide gives the optically active bases, i.e., (+)-(II) and (-) (II) (RGH-2981).

Drug Information Express,Drug R&D,Chemical Database,Patent Search.
Copyright © 2006-2026 Drug Future. All rights reserved.Contact Us