【药物名称】Synvinolin, Simvastatin, MK-733, Pantok, Colemin, Sinvacor, Lipex, Medipo, Zocor, Lipovas, Denan, Lodal鑣, Zocord
化学结构式(Chemical Structure):
参考文献No.4426
标题:Antihypercholesterolemic cpds.
作者:Hoffman, W.F.; Smith, R.L.; Willard, A.K. (Merck & Co., Inc.)
来源:US 4444784
合成路线图解说明:

The deacylation of lovastatin (I) with aqueous LiOH gives the free diol (II), which is partially protected with tert-butyldimethylsilyl chloride as usual, yielding the monosilylated derivative (III). The acylation of (III) with 2,2-dimethylbutyryl chloride (IV) by means of 4-pyrrolidino pyridine (py-py) in pyridine affords the silylated ester (V), which is finally deprotected with tetrabutylammonium fluoride and acetic acid in THF.

参考文献No.41536
标题:Process to manufacture simvastatin and intermediates
作者:Doucette, G.; Tam, T.F.; Tao, Y.; Karimian, K.; Li, Y. (Apotex Inc.)
来源:WO 9965892
合成路线图解说明:

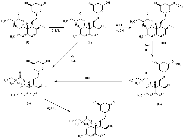
Two new related proceases to synthesize simvastatin have been described: 1) The reduction of the lactone function of lovastatin (I) with diisobutylaluminum hydride (DIBAL) in THF/dichoromethane gives the hemiacetal (II), which by reaction with acetyl chloride in methanol yields the acetal (III). The methylation of (III) with methyl iodide by means of BuLi and pyrrolidine in THF affords the 2,2-dimethylbutyric acid ester (IV), which is treated with HCl in THF to give the hemiacetal (V). Finally, this compound is oxidized with Ag2CO3 in refluxing toluene. 2) The direct methylation of hemiacetal (II) with methyl iodide by means of BuLi and pyrrolidine in THF directly yields the methylated herniacetal (V) although with a little bit less purity.

参考文献No.43789
标题:Process for the preparation of simvastatin and analogs thereof
作者:Zlicar, M. (LEK Pharmaceutical and Chemical Co.)
来源:WO 0032585
合成路线图解说明:

The deacylation of lovastatin (I) with aqueous LiOH gives the free diol (II), which is partially protected with tert-butyldimethylsilyl chloride as usual, yielding the monosilylated derivative (III). The acylation of (III) with 2,2-dimethylbutyryl chloride (IV) by means of 4-pyrrolidino pyridine (py-py) in pyridine affords the silylated ester (V), which is finally deprotected with tetrabutylammonium fluoride and acetic acid in THF.

参考文献No.51551
标题:A process for producing simvastatin
作者:Kim, J.W.; Bae, H.; Lee, K.H.; Choi, K.D. (Cheil Jedang Corp.)
来源:WO 0172734
合成路线图解说明:

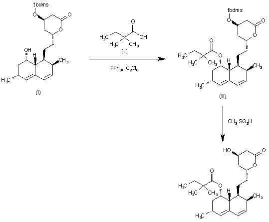
The esterification of 6(R)-[2-(8(S)-hydroxy-2(S),6(R)-dimethyl-1,2,6,7,8,8a(R)-hexahydro-1(S)-naphthyl)ethyl]-4(R)-(tert-butyldimethylsilyloxy)tetrahydropyran-2-one (I) with 2,2-dimethylbutyric acid (II) by means of PPh3 and hexachloroethane in dichloromethane gives the protected intermediate (III), which is finally desilylated by means of Me-SO3H in water to yield the target simvastatin.

参考文献No.63012
标题:Simvastatin
作者:Prous, J.; Casta馿r, J.
来源:Drugs Fut 1988,13(6),531
合成路线图解说明:

The deacylation of lovastatin (I) with aqueous LiOH gives the free diol (II), which is partially protected with tert-butyldimethylsilyl chloride as usual, yielding the monosilylated derivative (III). The acylation of (III) with 2,2-dimethylbutyryl chloride (IV) by means of 4-pyrrolidino pyridine (py-py) in pyridine affords the silylated ester (V), which is finally deprotected with tetrabutylammonium fluoride and acetic acid in THF.

参考文献No.547094
标题:3-Hydroxy-3-methylglutaryl-coenzyme A reductase in
作者:Hoffman, W.F.; Alberts, A. W.; Anderson, P.S.; Smith, R.L.; Chen, J.S.; Willard, A.K.
来源:J Med Chem 1986,29(5),849
合成路线图解说明:

The deacylation of lovastatin (I) with aqueous LiOH gives the free diol (II), which is partially protected with tert-butyldimethylsilyl chloride as usual, yielding the monosilylated derivative (III). The acylation of (III) with 2,2-dimethylbutyryl chloride (IV) by means of 4-pyrrolidino pyridine (py-py) in pyridine affords the silylated ester (V), which is finally deprotected with tetrabutylammonium fluoride and acetic acid in THF.

参考文献No.563515
标题:A cost-efficient synthesis of simvastatin via high-conversion methylation of an alkoxide ester enolate
作者:Thaper, R.K.; Misra, S.; Kumar, Y.; Kumar, S.M.D.; Khanna, J.M.
来源:Org Process Res Dev 1999,3(6),476
合成路线图解说明:

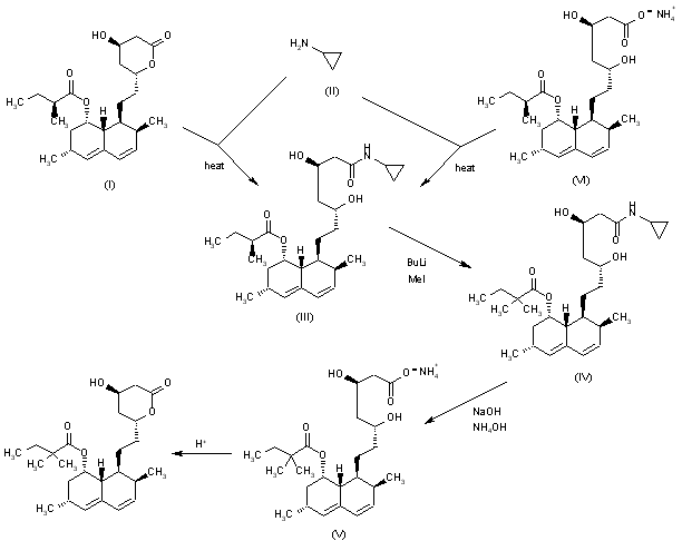
A cost-efficient synthesis of simvastatin has been reported: 1) The reaction of lovastatin (mevinolin) (I) with cyclopropylamine (II) gives the corresponding amide (III), which is methylated by means of BuLi, methyl iodide and pyrrolidine in THF yielding the dimethylbutyryl derivative (IV). Hydrolysis of (IV) with NaOH in refluxing methanol, followed by a treatment with NH4OH in methanol affords the ammonium salt (V), which is finally lactonized in acidic medium. 2) The cyclopropylamide (III) can also be obtained by reaction of mevinolinic acid ammonium salt (VI) with cyclopropylamine in hot toluene.

参考文献No.586926
标题:Synthesis of synvinolin: Extremely high conversion alkylation of an ester enolate
作者:Askin, D.; et al.
来源:J Org Chem 1991,56(16),4929
合成路线图解说明:

The deacylation of lovastatin (I) with aqueous LiOH gives the free diol (II), which is partially protected with tert-butyldimethylsilyl chloride as usual, yielding the monosilylated derivative (III). The acylation of (III) with 2,2-dimethylbutyryl chloride (IV) by means of 4-pyrrolidino pyridine (py-py) in pyridine affords the silylated ester (V), which is finally deprotected with tetrabutylammonium fluoride and acetic acid in THF.

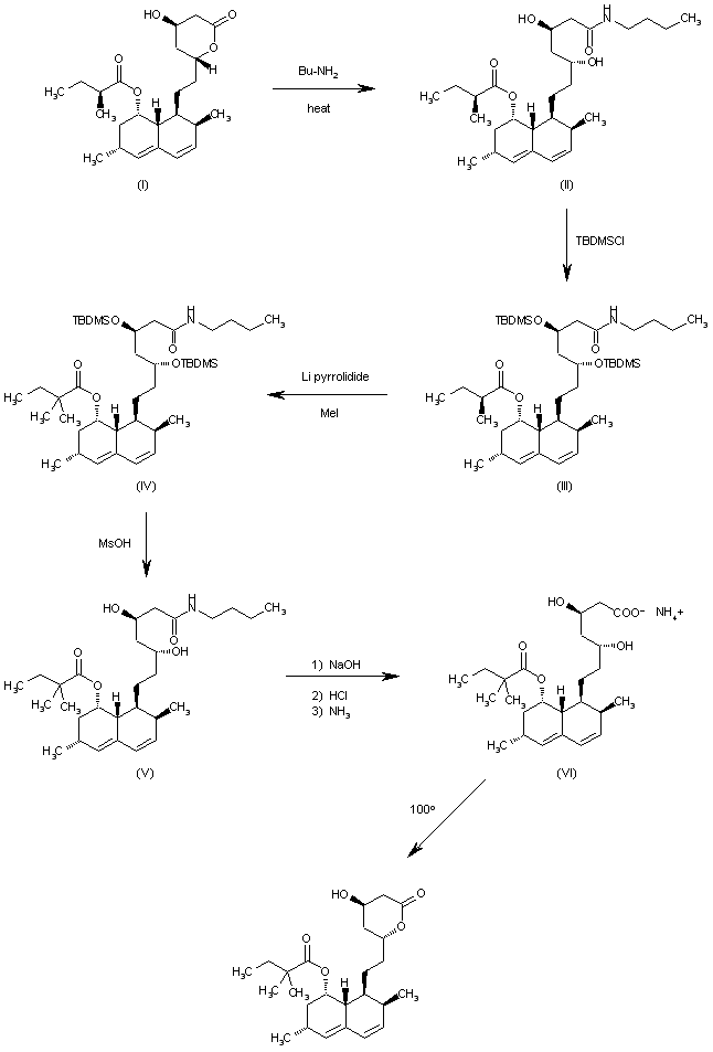
合成路线图解说明:

The reaction of Lovastatin (I) with refluxing butylamine gives the N-butylamide (II), which is silylated with TBDMS-Cl and imidazole to yield the bis(silyl) ether (III). The careful methylation of (III) with MeI (only 1.5 mol) and lithium pyrrolidide in THF at -10 C affords a high yield of 2,2-dimethylbutyrate (IV) avoiding the methylation of the amide nitrogen. The desilylation of (IV) with MsOH in methanol gives the dihydroxyamide (V), which is treated successively with NaOH in methanol/water, with HCl, and finally with ammonia in methanol to give the ammonium salt (VI). Finally, this compound is cyclized by heating at 100 C in toluene to afford the target simvastatin.

参考文献No.729240
标题:A new method for the synthesis of antihypercholesterolemic agent simvastatin
作者:Dabak, K.; Adiyaman, M.
来源:Helv Chim Acta 2003,86(3),673
合成路线图解说明:

The reaction of lovastatin (I) with benzoyl chloride (II) and pyridine gives the expected benzoate (III), which is treated with ethyleneglycol (IV), triethyl orthoformate and H2SO4 to yield the cyclic orthoformate (V). The methylation of (V) by means of MeI and BuLi in pyrrolidine affords the 2,2-dimethylbutyrate ester (VI), which is finally deprotected with HCl in THF to provide the target simvastatin.

Drug Information Express,Drug R&D,Chemical Database,Patent Search.
Copyright © 2006-2026 Drug Future. All rights reserved.Contact Us