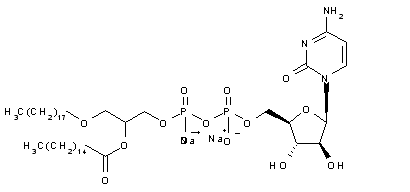
【药物名称】ara-CDP-D,L-PBA
化学结构式(Chemical Structure):
参考文献No.3953
标题:Thiophospholipid conjugates of antitumor agents
作者:(Health Research, Inc.)
来源:EP 0183843; US 4622392; WO 8600309
合成路线图解说明:

Compound is obtained by reaction of phosphoric acid 2-(hexadecanoyloxy)-3-(hexadecylsulfanyl)propyl monoester (I) with 1-[5-O-[4-morpholinyl(hydroxy)phosphoryl]-beta-D-arabinofuranosyl]cytosine (II).

合成路线图解说明:

Compound is obtained by reaction of phosphoric acid 2-(hexadecanoyloxy)-3-(octadecyloxy)propyl monoester (I) with 1-[5-O-[4-morpholinyl(hydroxy)phosphoryl]-beta-D-arabinofuranosyl]cytosine (II).

合成路线图解说明:

Compound is obtained by reaction of phosphoric acid 2-(hexadecanoyloxy)-3-(octadecylsulfanyl)propyl monoester (I) with 1-[5-O-[4-morpholinyl(hydroxy)phosphoryl]-beta-D-arabinofuranosyl]cytosine (II).

合成路线图解说明:

Compound is obtained by reaction of phosphoric acid 2-(hexadecanoyloxy)-3-(hexadecyloxy)propyl monoester (I) with 1-[5-O-[4-morpholinyl(hydroxy)phosphoryl]-beta-D-arabinofuranosyl]cytosine (II).

参考文献No.250250
标题:Nucleoside conjugates. 7. Synthesis and antitumor activity of 1-beta-D-arabinofuranosylcytosine conjugates of ether lipids
作者:Hong, C.I.; An, S.H.; Buchheit, D.J.; Nechaev, A.; Kirisits, A.J.; West, C.R.; Berdel, W.E.
来源:J Med Chem 1986,29(10),2038
合成路线图解说明:

Compound is obtained by reaction of phosphoric acid 2-(hexadecanoyloxy)-3-(hexadecylsulfanyl)propyl monoester (I) with 1-[5-O-[4-morpholinyl(hydroxy)phosphoryl]-beta-D-arabinofuranosyl]cytosine (II).

合成路线图解说明:

Compound is obtained by reaction of phosphoric acid 2-(hexadecanoyloxy)-3-(octadecyloxy)propyl monoester (I) with 1-[5-O-[4-morpholinyl(hydroxy)phosphoryl]-beta-D-arabinofuranosyl]cytosine (II).

合成路线图解说明:

Compound is obtained by reaction of phosphoric acid 2-(hexadecanoyloxy)-3-(octadecylsulfanyl)propyl monoester (I) with 1-[5-O-[4-morpholinyl(hydroxy)phosphoryl]-beta-D-arabinofuranosyl]cytosine (II).

合成路线图解说明:

Compound is obtained by reaction of phosphoric acid 2-(hexadecanoyloxy)-3-(hexadecyloxy)propyl monoester (I) with 1-[5-O-[4-morpholinyl(hydroxy)phosphoryl]-beta-D-arabinofuranosyl]cytosine (II).

参考文献No.803898
标题:Nucleoside conjugates. 14. Synthesis and antitumor activity of 1-beta-D-arabinofuranosylcytosine conjugates of ether lipids with improved water solubility
作者:West, C.R.; Buchheit, D.J.; Kirisits, A.J.; Hong, C.I.; Nechaev, A.
来源:J Med Chem 1995,38(10),1629-34
合成路线图解说明:

Compound is obtained by reaction of phosphoric acid 2-(hexadecanoyloxy)-3-(hexadecylsulfanyl)propyl monoester (I) with 1-[5-O-[4-morpholinyl(hydroxy)phosphoryl]-beta-D-arabinofuranosyl]cytosine (II).

合成路线图解说明:

Compound is obtained by reaction of phosphoric acid 2-(hexadecanoyloxy)-3-(octadecyloxy)propyl monoester (I) with 1-[5-O-[4-morpholinyl(hydroxy)phosphoryl]-beta-D-arabinofuranosyl]cytosine (II).

合成路线图解说明:

Compound is obtained by reaction of phosphoric acid 2-(hexadecanoyloxy)-3-(octadecylsulfanyl)propyl monoester (I) with 1-[5-O-[4-morpholinyl(hydroxy)phosphoryl]-beta-D-arabinofuranosyl]cytosine (II).

合成路线图解说明:

Compound is obtained by reaction of phosphoric acid 2-(hexadecanoyloxy)-3-(hexadecyloxy)propyl monoester (I) with 1-[5-O-[4-morpholinyl(hydroxy)phosphoryl]-beta-D-arabinofuranosyl]cytosine (II).

参考文献No.803899
标题:ARA-C conjugates of ether and thioether phospholipids
作者:Hong, C.I.
来源:Drugs Fut 1990,15(3),245
合成路线图解说明:

Compound is obtained by reaction of phosphoric acid 2-(hexadecanoyloxy)-3-(hexadecylsulfanyl)propyl monoester (I) with 1-[5-O-[4-morpholinyl(hydroxy)phosphoryl]-beta-D-arabinofuranosyl]cytosine (II).

合成路线图解说明:

Compound is obtained by reaction of phosphoric acid 2-(hexadecanoyloxy)-3-(octadecyloxy)propyl monoester (I) with 1-[5-O-[4-morpholinyl(hydroxy)phosphoryl]-beta-D-arabinofuranosyl]cytosine (II).

合成路线图解说明:

Compound is obtained by reaction of phosphoric acid 2-(hexadecanoyloxy)-3-(octadecylsulfanyl)propyl monoester (I) with 1-[5-O-[4-morpholinyl(hydroxy)phosphoryl]-beta-D-arabinofuranosyl]cytosine (II).

合成路线图解说明:

Compound is obtained by reaction of phosphoric acid 2-(hexadecanoyloxy)-3-(hexadecyloxy)propyl monoester (I) with 1-[5-O-[4-morpholinyl(hydroxy)phosphoryl]-beta-D-arabinofuranosyl]cytosine (II).

Drug Information Express,Drug R&D,Chemical Database,Patent Search.
Copyright © 2006-2026 Drug Future. All rights reserved.Contact Us