【药物名称】Clarithromycin, 6-O-Methylerythromycin A, Abbott-56268, A-56268, TE-031, Naxy, Klaricid XL, Biaxin XL, Klaricid, Clarith, Biaxin, Cyllind, Macladin, Veclam, Klacid
化学结构式(Chemical Structure):
参考文献No.4373
标题:Novel erythromycin compounds
作者:Watanabe, Y.; Morimoto, S.; Omura, S. (Taisho Pharmaceutical Co., Ltd.)
来源:EP 0041355; US 4331803
合成路线图解说明:

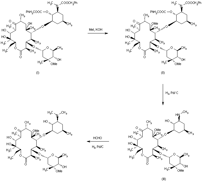
The methylation of 2'-O,N-bis(benzyloxycarbonyl)-N-demethylerythromycin A (I) with methyl iodide and KOH or NaHI in DMSO-dimethoxyethane gives the 6-O-methyl derivative (II), which is deprotected by hydrogenation with H2 over Pd/C in ethanol acetic acid affording 6-O-methyl-N-demethylerythromycin A (III). Finally, this compound is methylated with formaldehyde under reductive conditions (H2-Pd/C) in ethanol/acetic acid.

参考文献No.4374
标题:Method for preparing 6-O-methyl-2'-O,N-bis(benzyloxycarbonyl)-N-dimethylerythromycin a
作者:Adachi, T.; Kikugawa, Y.; Morimoto, S.; Sota, K.; Takahashi, Y.; Watanabe, Y. (Taisho Pharmaceutical Co., Ltd.)
来源:EP 0147062
合成路线图解说明:

The methylation of 2'-O,N-bis(benzyloxycarbonyl)-N-demethylerythromycin A (I) with methyl iodide and KOH or NaHI in DMSO-dimethoxyethane gives the 6-O-methyl derivative (II), which is deprotected by hydrogenation with H2 over Pd/C in ethanol acetic acid affording 6-O-methyl-N-demethylerythromycin A (III). Finally, this compound is methylated with formaldehyde under reductive conditions (H2-Pd/C) in ethanol/acetic acid.

参考文献No.60591
标题:6-O-Methylerythromycin A
作者:Serradell, M.N.; Casta馿r, R.M.; Casta馿r, J.
来源:Drugs Fut 1987,12(10),952
合成路线图解说明:

The methylation of 2'-O,N-bis(benzyloxycarbonyl)-N-demethylerythromycin A (I) with methyl iodide and KOH or NaHI in DMSO-dimethoxyethane gives the 6-O-methyl derivative (II), which is deprotected by hydrogenation with H2 over Pd/C in ethanol acetic acid affording 6-O-methyl-N-demethylerythromycin A (III). Finally, this compound is methylated with formaldehyde under reductive conditions (H2-Pd/C) in ethanol/acetic acid.

参考文献No.605729
标题:Chemical modification of erythromycins. 1. Synthesis and antibacterial activity of 6-O-methylerythromycins A
作者:Morimoto, S.; Takahashi, Y.; Watanabe, Y.; Omura, S.
来源:J Antibiot 1984,37(2),187-189
合成路线图解说明:

The methylation of 2'-O,N-bis(benzyloxycarbonyl)-N-demethylerythromycin A (I) with methyl iodide and KOH or NaHI in DMSO-dimethoxyethane gives the 6-O-methyl derivative (II), which is deprotected by hydrogenation with H2 over Pd/C in ethanol acetic acid affording 6-O-methyl-N-demethylerythromycin A (III). Finally, this compound is methylated with formaldehyde under reductive conditions (H2-Pd/C) in ethanol/acetic acid.

Drug Information Express,Drug R&D,Chemical Database,Patent Search.
Copyright © 2006-2026 Drug Future. All rights reserved.Contact Us