【药物名称】Medosan-27, MED-27
化学结构式(Chemical Structure):
参考文献No.4281
标题:Ester derivs. of 7-(omega-oxyalkyl)theophylline and their pharmaceutical activity
作者:Baglioni, A. (Medosan)
来源:EP 0177659; US 4618612
合成路线图解说明:

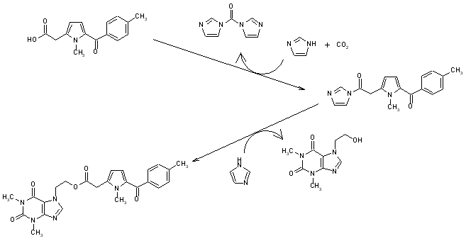
The reaction for preparing the esters is shown schematically by the condensation of 1-methyl-5-(4-methylbenzoyl)pyrrol-2-acetic acid and 7-(2-oxyethyl)theophylline as a general example, giving rise to the formation of the 1-methyl-5-(4-methylbenzoyl)pyrrol-2-acetate of 7-(2-oxyethyl)theophylline.

参考文献No.213051
标题:MED 27
作者:Tubaro, E.
来源:Drugs Fut 1993,18(7),601
合成路线图解说明:

The reaction for preparing the esters is shown schematically by the condensation of 1-methyl-5-(4-methylbenzoyl)pyrrol-2-acetic acid and 7-(2-oxyethyl)theophylline as a general example, giving rise to the formation of the 1-methyl-5-(4-methylbenzoyl)pyrrol-2-acetate of 7-(2-oxyethyl)theophylline.

Drug Information Express,Drug R&D,Chemical Database,Patent Search.
Copyright © 2006-2026 Drug Future. All rights reserved.Contact Us