【药物名称】Canthaxanthin, RO-19915
化学结构式(Chemical Structure):
参考文献No.701474
标题:
作者:Rosenberg, M.
来源:US 4000198
合成路线图解说明:

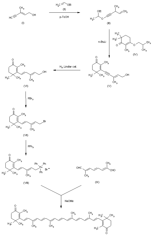
The reaction of 3-methyl-2-trans-penten-4-yn-1-ol (I) with ethyl vinyl ether (II) by means of p-toluenesulfonic acid gives 1-(1-ethoxyethoxy)-3-methyl-4-trans-penten-1-yne (III), which is condensed with 2,6,6-trimethyl-3-isobutoxycyclohex-2-en-1-one (IV) by means of butyllithium in ether at -60 C to afford 5-(2,6,6-trimethyl-3-oxocyclohexen-1-yl)-3-methyl-2-trans-penten-4-yn-1-ol (V). The reduction of (V) with H2 over a Lindlar catalyst in toluene yields 5-(2,6,6-trimethyl-3-oxocyclohexen-1-yl)-3-methyl-2,4-pentadien-1-ol (VI), which is converted into the corresponding pentadienyl bromide (VII) by reaction with PBr3 in ether. The reaction of (VII) with triphenylphosphine in refluxing benzene affords 5-(2,6,6-trimethyl-3-oxocyclohexen-1-yl)-3-methyl-2,4-pentadien-1-triphenylphosphonium bromide (VIII) , which is finally condensed in a Wittig reaction with 2,7-dimethyl-2,4,6-octatriene-1,8-dial (IX) by means of sodium methoxide in dichloromethane.

合成路线图解说明:

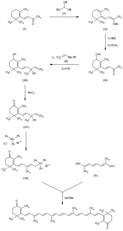
The reaction of beta-ionon (X) with triethyl orthoformate (A) by means of H2SO4 in dioxane gives beta-ionon enolether (XI), which by reaction with NBS in CCl4 and hydrolysis with acetic acid is converted into 4-acetoxyonon (XII). The Grignard reaction of (XII) with vinylmagnesium bromide (B) in THF and hydrolysis with KOH in methanol gives 5-(3-hydroxy-2,6,6-trimethylcyclohex-1-en-1-yl)-3-methylpenta-1,4-dien-3-ol (XIII), which is oxidized with MnO2 in methylene chloride yielding 5-(3-oxo-2,6,6-trimethylcyclohex-1-en-1-yl)-3-methylpenta-1,4-dien-3-ol (XIV). Finally, this compound by reaction with triphenylphosphonium bromide (C) in DMF is converted into the phosphonium salt (VIII), which is finally condensed in a Wittig reaction with 2,7-dimethyl-2,4,6-octatriene-1,8-dial (IX) by means of sodium methoxide in dichloromethane.

参考文献No.701475
标题:
作者:Rigassi, N.; Schwieter, U.
来源:DE 2037935
合成路线图解说明:

The reaction of 3-methyl-2-trans-penten-4-yn-1-ol (I) with ethyl vinyl ether (II) by means of p-toluenesulfonic acid gives 1-(1-ethoxyethoxy)-3-methyl-4-trans-penten-1-yne (III), which is condensed with 2,6,6-trimethyl-3-isobutoxycyclohex-2-en-1-one (IV) by means of butyllithium in ether at -60 C to afford 5-(2,6,6-trimethyl-3-oxocyclohexen-1-yl)-3-methyl-2-trans-penten-4-yn-1-ol (V). The reduction of (V) with H2 over a Lindlar catalyst in toluene yields 5-(2,6,6-trimethyl-3-oxocyclohexen-1-yl)-3-methyl-2,4-pentadien-1-ol (VI), which is converted into the corresponding pentadienyl bromide (VII) by reaction with PBr3 in ether. The reaction of (VII) with triphenylphosphine in refluxing benzene affords 5-(2,6,6-trimethyl-3-oxocyclohexen-1-yl)-3-methyl-2,4-pentadien-1-triphenylphosphonium bromide (VIII) , which is finally condensed in a Wittig reaction with 2,7-dimethyl-2,4,6-octatriene-1,8-dial (IX) by means of sodium methoxide in dichloromethane.

合成路线图解说明:

The reaction of beta-ionon (X) with triethyl orthoformate (A) by means of H2SO4 in dioxane gives beta-ionon enolether (XI), which by reaction with NBS in CCl4 and hydrolysis with acetic acid is converted into 4-acetoxyonon (XII). The Grignard reaction of (XII) with vinylmagnesium bromide (B) in THF and hydrolysis with KOH in methanol gives 5-(3-hydroxy-2,6,6-trimethylcyclohex-1-en-1-yl)-3-methylpenta-1,4-dien-3-ol (XIII), which is oxidized with MnO2 in methylene chloride yielding 5-(3-oxo-2,6,6-trimethylcyclohex-1-en-1-yl)-3-methylpenta-1,4-dien-3-ol (XIV). Finally, this compound by reaction with triphenylphosphonium bromide (C) in DMF is converted into the phosphonium salt (VIII), which is finally condensed in a Wittig reaction with 2,7-dimethyl-2,4,6-octatriene-1,8-dial (IX) by means of sodium methoxide in dichloromethane.

参考文献No.701476
标题:
作者:Surmatis, J.D.
来源:US 3311656
合成路线图解说明:

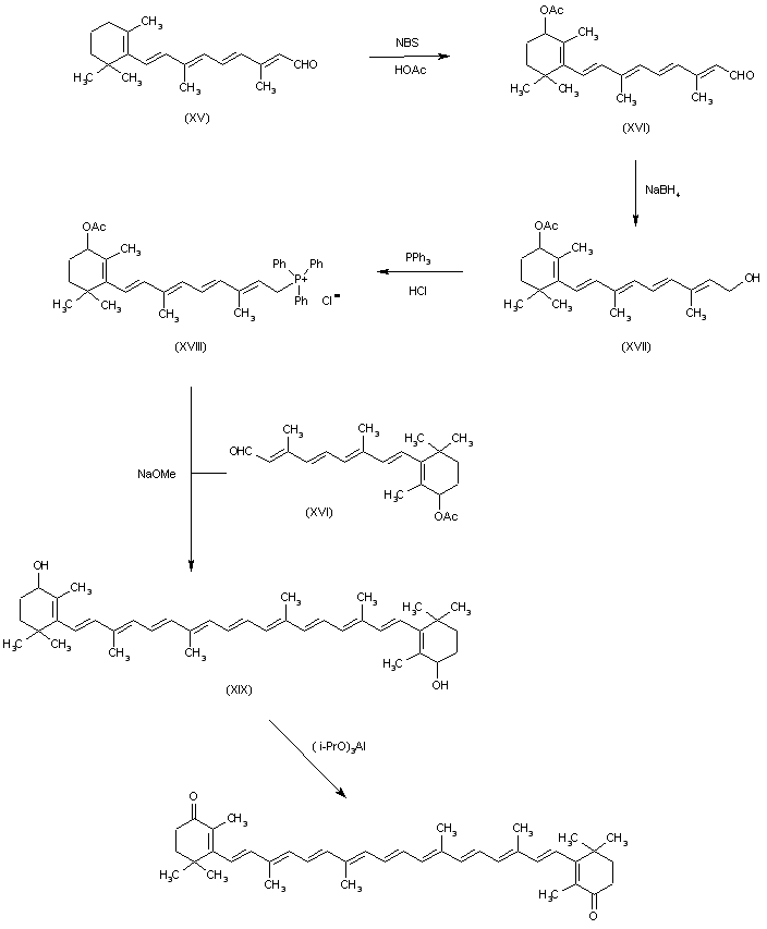
The reaction of vitamin A aldehyde (retinene) (XV) with NBS and acetic acid - acetic anhydride in CHCl3 gives 3-acetoxyretinene (XVI), which is reduced with NaBH4 in methanol to yield 3-acetoxyretinol (XVII). The reaction of (XVII) with triphenylphosphine and HCl in methanol affords 3-acetoxyretinyltriphenylphosphonium chloride (XVIII), which is condensed through a Wittig reaction with aldehyde (XVI) by means of sodium methoxide in isopropanol giving trans-isozeaxanthin (XIX). Finally, this compound is oxidized with aluminum isopropoxide in refluxing benzene - acetone.

参考文献No.800529
标题:Synthesis of oxygenated carotenoids
作者:Surmatis, J.D.; et al.
来源:Helv Chim Acta 1970,53(5),974-990
合成路线图解说明:

The reaction of vitamin A aldehyde (retinene) (XV) with NBS and acetic acid - acetic anhydride in CHCl3 gives 3-acetoxyretinene (XVI), which is reduced with NaBH4 in methanol to yield 3-acetoxyretinol (XVII). The reaction of (XVII) with triphenylphosphine and HCl in methanol affords 3-acetoxyretinyltriphenylphosphonium chloride (XVIII), which is condensed through a Wittig reaction with aldehyde (XVI) by means of sodium methoxide in isopropanol giving trans-isozeaxanthin (XIX). Finally, this compound is oxidized with aluminum isopropoxide in refluxing benzene - acetone.

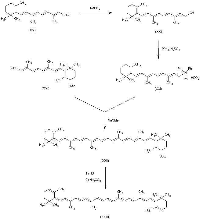
合成路线图解说明:

The reduction of retinene (XV) with NaBH4 in methanol gives retinol (XX), which by reaction with triphenylphosphine and H2SO4 is converted into retinyltriphenylphosphonium sulfate (XXI). The Wittig reaction of (XXI) with aldehyde (XVI) by means of sodium methoxide in benzene - methanol yields 3-acetylisocryptoxanthin (XXII), which by reaction with aqueous 68% HBr in methylene chloride, followed by a treatment with Na2CO3 affords dehydro-retro-carotene (XXIII).

合成路线图解说明:

Finally, compound (XXIII) by reaction with NBS and acetic acid in CHCl3, followed by a treatment with KOH in methanol, is converted into the previously obtained diol (XIX).

参考文献No.800530
标题:Canthazanthin
作者:Serradell, M.N.; Blancafort, P.; Casta馿r, J.; Hillier, K.
来源:Drugs Fut 1979,4(7),477
合成路线图解说明:

The reaction of 3-methyl-2-trans-penten-4-yn-1-ol (I) with ethyl vinyl ether (II) by means of p-toluenesulfonic acid gives 1-(1-ethoxyethoxy)-3-methyl-4-trans-penten-1-yne (III), which is condensed with 2,6,6-trimethyl-3-isobutoxycyclohex-2-en-1-one (IV) by means of butyllithium in ether at -60 C to afford 5-(2,6,6-trimethyl-3-oxocyclohexen-1-yl)-3-methyl-2-trans-penten-4-yn-1-ol (V). The reduction of (V) with H2 over a Lindlar catalyst in toluene yields 5-(2,6,6-trimethyl-3-oxocyclohexen-1-yl)-3-methyl-2,4-pentadien-1-ol (VI), which is converted into the corresponding pentadienyl bromide (VII) by reaction with PBr3 in ether. The reaction of (VII) with triphenylphosphine in refluxing benzene affords 5-(2,6,6-trimethyl-3-oxocyclohexen-1-yl)-3-methyl-2,4-pentadien-1-triphenylphosphonium bromide (VIII) , which is finally condensed in a Wittig reaction with 2,7-dimethyl-2,4,6-octatriene-1,8-dial (IX) by means of sodium methoxide in dichloromethane.

合成路线图解说明:

The reaction of beta-ionon (X) with triethyl orthoformate (A) by means of H2SO4 in dioxane gives beta-ionon enolether (XI), which by reaction with NBS in CCl4 and hydrolysis with acetic acid is converted into 4-acetoxyonon (XII). The Grignard reaction of (XII) with vinylmagnesium bromide (B) in THF and hydrolysis with KOH in methanol gives 5-(3-hydroxy-2,6,6-trimethylcyclohex-1-en-1-yl)-3-methylpenta-1,4-dien-3-ol (XIII), which is oxidized with MnO2 in methylene chloride yielding 5-(3-oxo-2,6,6-trimethylcyclohex-1-en-1-yl)-3-methylpenta-1,4-dien-3-ol (XIV). Finally, this compound by reaction with triphenylphosphonium bromide (C) in DMF is converted into the phosphonium salt (VIII), which is finally condensed in a Wittig reaction with 2,7-dimethyl-2,4,6-octatriene-1,8-dial (IX) by means of sodium methoxide in dichloromethane.

合成路线图解说明:

The reaction of vitamin A aldehyde (retinene) (XV) with NBS and acetic acid - acetic anhydride in CHCl3 gives 3-acetoxyretinene (XVI), which is reduced with NaBH4 in methanol to yield 3-acetoxyretinol (XVII). The reaction of (XVII) with triphenylphosphine and HCl in methanol affords 3-acetoxyretinyltriphenylphosphonium chloride (XVIII), which is condensed through a Wittig reaction with aldehyde (XVI) by means of sodium methoxide in isopropanol giving trans-isozeaxanthin (XIX). Finally, this compound is oxidized with aluminum isopropoxide in refluxing benzene - acetone.

合成路线图解说明:

The reduction of retinene (XV) with NaBH4 in methanol gives retinol (XX), which by reaction with triphenylphosphine and H2SO4 is converted into retinyltriphenylphosphonium sulfate (XXI). The Wittig reaction of (XXI) with aldehyde (XVI) by means of sodium methoxide in benzene - methanol yields 3-acetylisocryptoxanthin (XXII), which by reaction with aqueous 68% HBr in methylene chloride, followed by a treatment with Na2CO3 affords dehydro-retro-carotene (XXIII).

合成路线图解说明:

Finally, compound (XXIII) by reaction with NBS and acetic acid in CHCl3, followed by a treatment with KOH in methanol, is converted into the previously obtained diol (XIX).

Drug Information Express,Drug R&D,Chemical Database,Patent Search.
Copyright © 2006-2026 Drug Future. All rights reserved.Contact Us