【药物名称】DWA-2114
化学结构式(Chemical Structure):
参考文献No.61876
标题:DWA-2114
作者:Hoshi, A.
来源:Drugs Fut 1987,12(10),939
合成路线图解说明:

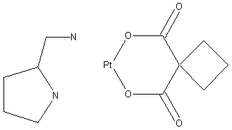
The reaction of 2 aminomethylpyrrolidine (I) with potassium tetrachloropiatinum (II) gives dichloro piatinum complex (III), which is nitrated with silver nitrate and followed by substitution with cyclobutanedicarboxylate (IV).

参考文献No.803936
标题:Synthesis and antitumor activity of platinum complexes (I)
作者:Morikawa, K.; Koizumi, M.; Endo, K.; Yono, T.; Mitusui, H.; Akamatsu, K.; Honda, H.
来源:106th Annu Meet Pharm Soc Jpn (Chiba) 1986,Abstr. 4E 10-2
合成路线图解说明:

The reaction of 2 aminomethylpyrrolidine (I) with potassium tetrachloropiatinum (II) gives dichloro piatinum complex (III), which is nitrated with silver nitrate and followed by substitution with cyclobutanedicarboxylate (IV).

Drug Information Express,Drug R&D,Chemical Database,Patent Search.
Copyright © 2006-2026 Drug Future. All rights reserved.Contact Us