【药物名称】Etacizin, Ethacizin, NIK-244
化学结构式(Chemical Structure):
参考文献No.454
标题:Agent for treating myocardial infarction
作者:Cazov, E.I.; Valdman, A.V.; Kaverine, N.V.; Penke, I.C.; Rozenstrauch, L.V.; Cicharev, V.N.; Prjanisnikova, N.T.; Senota, Z.P.; Lyskovcev, V.V.; Grigorieva, E.K.; Skoldinov, A.P.; Gricenko, A.N.; Ermakova, Z.I.; et al. (Nauchno-Issledovatelsky Institut)
来源:DE 3314142
合成路线图解说明:

By reaction of 10-(3-chloropropionyl)-2-(ethoxycarbonylamino)phenothiazine (I) with diethylamine in refluxing toluene.

参考文献No.7361
标题:4(5)-Substd. imidazole derivs., and intermediates and processes for their preparation
作者:Karjalainen, A.L.; Karjalainen, A.J. (Orion Pharma)
来源:EP 0247764; US 4933359
合成路线图解说明:

By reaction of 10-(3-chloropropionyl)-2-(ethoxycarbonylamino)phenothiazine (I) with diethylamine in refluxing toluene.

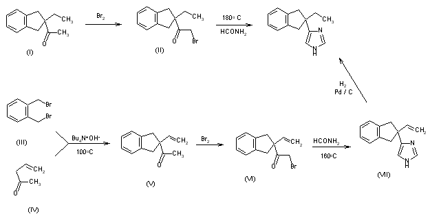
合成路线图解说明:

This compound can be obtained in two different ways: 1) The bromination of 1-(2-ethylindan-2-yl)-1-ethanone (I) with Br2 in ether gives 2-bromo-1-(2-ethylindan-2-yl)-1-ethanone (II), which is then cyclized with formamide by heating at 170-80 C. 2) The cyclization of alpha,alpha'-dibromo-o-xylene (III) with 4-penten-2-one (IV) by means of tetrabutylammonium hydroxide in toluene at 100 C gives 1-(2-vinylindan-2-yl)-1-ethanone (V), which is brominated with Br2 in dichloromethane to yield 2-bromo-1-(2-vinylindan-2-yl)-1-ethanone (VI). The cyclization of (VI) with formamide at 160 C as before affords 4-(2-vinylindan-2-yl)-1H-imidazole (VII), which is finally hydrogenated with H2 over Pd/C in ethanol.

参考文献No.99772
标题:ETHACIZIN
作者:Prous, J.; Casta馿r, J.
来源:Drugs Fut 1990,15(1),28
合成路线图解说明:

By reaction of 10-(3-chloropropionyl)-2-(ethoxycarbonylamino)phenothiazine (I) with diethylamine in refluxing toluene.

Drug Information Express,Drug R&D,Chemical Database,Patent Search.
Copyright © 2006-2026 Drug Future. All rights reserved.Contact Us