【药物名称】Sabeluzole, R-58735
化学结构式(Chemical Structure):
参考文献No.9142
标题:Benzoxazol- and benzothiazolamine derivs.
作者:Stokbroekx, R.A.; Luyckx, M.G.M.; Janssens, F.E. (Janssen Pharmaceutica NV)
来源:EP 0184257; US 4861785
合成路线图解说明:

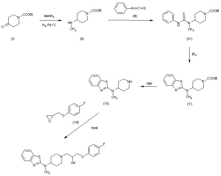
The reductocondensation of ethyl 4-oxopiperidine-1-carboxylate (I) with methylamine by means of H2 over Pd/C in thiophene gives ethyl 4-(methylamino)piperidine-1-carboxylate (II), which is then condensed with phenyl isothiocyanate (III) in diisopropyl ether to yield the substituted thiourea (IV). The cyclization of (IV) with Br2 in refluxing CCl4 affords N-[4-(ethoxycarbonyl)piperidin-l-yl]-N methylbenzo-thiazol-2-amine (V), which is decarboxylated with refluxing 48% HBr to N-methyl-N-(4-piperidyl)benzo thiazol-2-amine (VI). Finally, this compound is condensed with 1,2-epoxy-3-(4-fluorophenoxypropane) (VII) in refluxing toluene methanol.

参考文献No.63007
标题:SABELUZOLE < Rec INN >
作者:Prous, J.; Casta馿r, J.
来源:Drugs Fut 1988,13(6),529
合成路线图解说明:

The reductocondensation of ethyl 4-oxopiperidine-1-carboxylate (I) with methylamine by means of H2 over Pd/C in thiophene gives ethyl 4-(methylamino)piperidine-1-carboxylate (II), which is then condensed with phenyl isothiocyanate (III) in diisopropyl ether to yield the substituted thiourea (IV). The cyclization of (IV) with Br2 in refluxing CCl4 affords N-[4-(ethoxycarbonyl)piperidin-l-yl]-N methylbenzo-thiazol-2-amine (V), which is decarboxylated with refluxing 48% HBr to N-methyl-N-(4-piperidyl)benzo thiazol-2-amine (VI). Finally, this compound is condensed with 1,2-epoxy-3-(4-fluorophenoxypropane) (VII) in refluxing toluene methanol.

Drug Information Express,Drug R&D,Chemical Database,Patent Search.
Copyright © 2006-2026 Drug Future. All rights reserved.Contact Us