【药物名称】OPC-4392
化学结构式(Chemical Structure):
参考文献No.39949
标题:Pharmaceutically useful carbostyril derivs.
作者:Banno, K.; Fujioka, T.; Nakagawa, K.; Oshiro, Y. (Otsuka Pharmaceutical Co., Ltd.)
来源:DE 2912105; FR 2421174; US 4734416
合成路线图解说明:

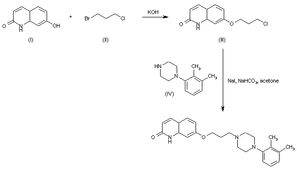
The condensation of 7-hydroxycarbostyryl (I) with 1-bromo-3-chloropropane (II) by means of KOH in hot isopropranol gives 7-(3-chloropropoxy)carbostyryl (III), which is then allowed to react with 1-(2,3-dimethylpheny)piperazine (IV) by means of NaI and NaHCO3 in hot acetone.

参考文献No.70085
标题:OPC-4392
作者:Prous, J.; Casta馿r, J.
来源:Drugs Fut 1988,13(10),931
合成路线图解说明:

The condensation of 7-hydroxycarbostyryl (I) with 1-bromo-3-chloropropane (II) by means of KOH in hot isopropranol gives 7-(3-chloropropoxy)carbostyryl (III), which is then allowed to react with 1-(2,3-dimethylpheny)piperazine (IV) by means of NaI and NaHCO3 in hot acetone.

Drug Information Express,Drug R&D,Chemical Database,Patent Search.
Copyright © 2006-2026 Drug Future. All rights reserved.Contact Us