【药物名称】Ecabamide, Ecabapide, DQ-2511, Muralis
化学结构式(Chemical Structure):
参考文献No.10029
标题:Aminobenzamide derivatives
作者:Miki, T.; Asano, M.; Hosokami, T. (Daiichi Seiyaku Co., Ltd.)
来源:EP 0185368
合成路线图解说明:

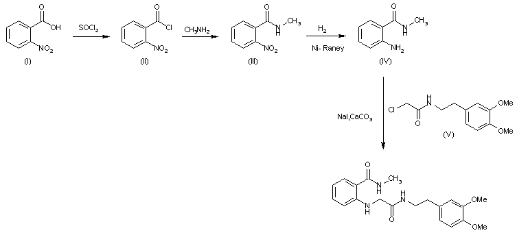
The reaction of 3-nitrobenzoic acid (I) with refluxing SOCl2 gives the corresponding acyl chloride (II), which by reaction with methylamine in chloroform is converted to the methylamide (III). The reduction of (III) with H2 over RaNi in methanol yields the 3-amino-N-methylbenzamide (IV), which is finally condensed with 2-chloro-N-[2-(3,4-dimethoxyphenyl)ethyl]acetamide (V) by means of NaI and CaCO3 in hot DMF.

参考文献No.84547
标题:DQ-2511
作者:Prous, J.; Casta馿r, J.
来源:Drugs Fut 1989,14(7),620
合成路线图解说明:

The reaction of 3-nitrobenzoic acid (I) with refluxing SOCl2 gives the corresponding acyl chloride (II), which by reaction with methylamine in chloroform is converted to the methylamide (III). The reduction of (III) with H2 over RaNi in methanol yields the 3-amino-N-methylbenzamide (IV), which is finally condensed with 2-chloro-N-[2-(3,4-dimethoxyphenyl)ethyl]acetamide (V) by means of NaI and CaCO3 in hot DMF.

Drug Information Express,Drug R&D,Chemical Database,Patent Search.
Copyright © 2006-2026 Drug Future. All rights reserved.Contact Us