【药物名称】N-0437
化学结构式(Chemical Structure):
参考文献No.54745
标题:N-0437
作者:Horn, A.S.
来源:Drugs Fut 1987,12(3),220
合成路线图解说明:

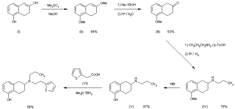
The methylation of 1,6-naphthalenediol (I) with dimethyl sulfate gives 1,6-dimethoxynaphthalene (II), which by reaction with sodium-ethanol is converted to 5-methoxy-2-tetralone (III). The condensation of (III) with propylamine - p-toluenesulfonic acid and subsequent hydrogenation with H2 over Pt affords 5-methoxy-N-propyl-1,2,3,4-tetrahydronaphthalen-2-amine (IV). which is demethylated with HBr to 5-hydroxy-N-propyl-1,2,3,4-tetrahydronaphthalen-2-amine (V). Finally, this compound is reductively alkytated with 2-thienylacetic acid (VI) using boranetrimethylamine complex to yield N-0437.

参考文献No.547092
标题:Synthesis and radioreceptor binding of N-0437, a n
作者:Seeman, P.; Horn, A.S.; Grigoriadis, D.; Watanabe, M.; van der Weide, J.; Tepper, P.
来源:Pharm Weekbl - Sci Ed 1984,7208
合成路线图解说明:

The methylation of 1,6-naphthalenediol (I) with dimethyl sulfate gives 1,6-dimethoxynaphthalene (II), which by reaction with sodium-ethanol is converted to 5-methoxy-2-tetralone (III). The condensation of (III) with propylamine - p-toluenesulfonic acid and subsequent hydrogenation with H2 over Pt affords 5-methoxy-N-propyl-1,2,3,4-tetrahydronaphthalen-2-amine (IV). which is demethylated with HBr to 5-hydroxy-N-propyl-1,2,3,4-tetrahydronaphthalen-2-amine (V). Finally, this compound is reductively alkytated with 2-thienylacetic acid (VI) using boranetrimethylamine complex to yield N-0437.

Drug Information Express,Drug R&D,Chemical Database,Patent Search.
Copyright © 2006-2026 Drug Future. All rights reserved.Contact Us