【药物名称】Lemildipine, NB-818, NPK-1886
化学结构式(Chemical Structure):
参考文献No.4202
标题:2-N-Substd. or unsubstd.-carbamoyloxy-alkyl-1, 4-dihydropyridine-3,5-dicarboxylic acid symmetrical or asymmetrical diester deriv. and its preparation
作者:Migano, T. et al. (Banyu Pharmaceutical Co., Ltd.)
来源:JP 1984152373
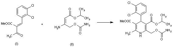
合成路线图解说明:

1) By cyclization of methyl 2-(2,3-dichlorobenzylidene)acetoacetate (I) with isopropyl 3-amino-4-(carbamoyloxy)crotonate (II).

合成路线图解说明:

2) By cyclization of (I) with isopropyl 4-(carbamoyloxy)-2-butynoate (III) and ammonium acetate (IV).

合成路线图解说明:

By cyclization of (II) with 2,3-dichlorobenzaldehyde (V) and methyl acetoacetate (VI).

参考文献No.4203
标题:A novel method for producing carbamoyloxyalkyl-1, 4-dihydropyridine deriv.
作者:Miyano, T.; Suzuki, K. (Banyu Pharmaceutical Co., Ltd.)
来源:JP 1985139671
合成路线图解说明:

By esterification of 3-isopropyl 5-methyl 4-(2,3-dichlorophenyl)-2-hydroxymethyl)-6-methyl-1,4-dihydropyridine-3,5-dicarboxylate (VII) with chlorosulfonyl isocyanate.

参考文献No.79242
标题:NB-818
作者:Prous, J.; Casta馿r, J.
来源:Drugs Fut 1989,14(4),331
合成路线图解说明:

1) By cyclization of methyl 2-(2,3-dichlorobenzylidene)acetoacetate (I) with isopropyl 3-amino-4-(carbamoyloxy)crotonate (II).

合成路线图解说明:

2) By cyclization of (I) with isopropyl 4-(carbamoyloxy)-2-butynoate (III) and ammonium acetate (IV).

合成路线图解说明:

By cyclization of (II) with 2,3-dichlorobenzaldehyde (V) and methyl acetoacetate (VI).

合成路线图解说明:

By esterification of 3-isopropyl 5-methyl 4-(2,3-dichlorophenyl)-2-hydroxymethyl)-6-methyl-1,4-dihydropyridine-3,5-dicarboxylate (VII) with chlorosulfonyl isocyanate.

Drug Information Express,Drug R&D,Chemical Database,Patent Search.
Copyright © 2006-2026 Drug Future. All rights reserved.Contact Us