【药物名称】Tamolarizine hydrochloride, NC-1100
化学结构式(Chemical Structure):
参考文献No.4201
标题:New piperazine derivs., their salts and pharmaceuticals for improving cerebral circulation
作者:Mitsuo, M. (Nippon Chemiphar Co., Ltd.)
来源:DE 3326148; ES 8603449
合成路线图解说明:

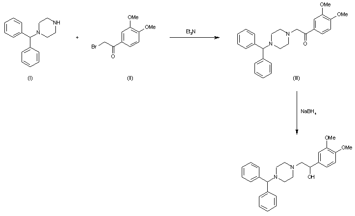
The reaction of 1-(diphenylmethyl)piperazine (I) with 3,4-dimethoxyphenacyl bromide (II) by means of triethylamine in isopropanol gives alpha-[4-(diphenylmethyl)-1-piperazinyl]-3,4-dimethoxyacetophenone (III), which is then reduced with NaBH4 in ethanol-CHCl3.

参考文献No.80596
标题:NC-1100
作者:Prous, J.; Casta馿r, J.
来源:Drugs Fut 1989,14(4),334
合成路线图解说明:

The reaction of 1-(diphenylmethyl)piperazine (I) with 3,4-dimethoxyphenacyl bromide (II) by means of triethylamine in isopropanol gives alpha-[4-(diphenylmethyl)-1-piperazinyl]-3,4-dimethoxyacetophenone (III), which is then reduced with NaBH4 in ethanol-CHCl3.

Drug Information Express,Drug R&D,Chemical Database,Patent Search.
Copyright © 2006-2026 Drug Future. All rights reserved.Contact Us