【药物名称】ZK-34228, CGP-28237
化学结构式(Chemical Structure):
参考文献No.54672
标题:CGP-28237
作者:Ferrini, P.G.; B鰐tcher, I.
来源:Drugs Fut 1987,12(1),9
合成路线图解说明:

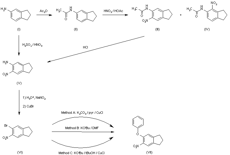
A) Synthesis of intermediate (VII): The acetylation of 5-aminoindane (I) with acetic anhydride gives N-(5-indanyl)acetamide (II), which is nitrated with HNO3 in glacial acetic acid yielding N-(6-nitro-5-indanyl)acetamide (III) and a small amount of the isomer (IV). The product (III) is hydrolyzed with HCl to 6-nitro-5-indanylamine (V). This nitroamine can also be obtained by nitration of 5-aminoindane (I). The Sandmeyer reaction of 6-nitro-5-indanylamine (V) with HNO2 and CuBr/NaBr in HBr gives 6-nitro-5-bromoindane (VI), which reacts with phenol in the presence of either K2CO3/ CuCl in pyridine (Method A) or t-BuOK in DMF (Method B) or t-BuOK/CuCl in tert-butanol (Method C) to yield 6-nitro-5-phenoxyindane (VII).

合成路线图解说明:

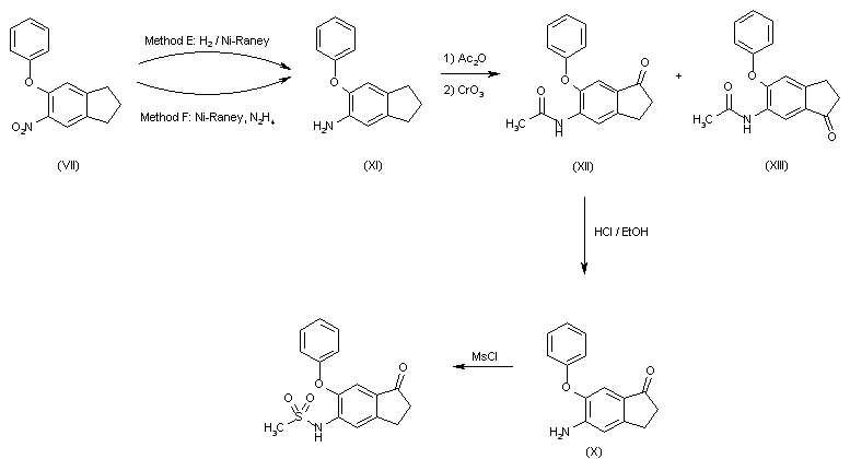
1) Condensation of (VII) with tert-butoxybis(dimethylamino)methane followed by ozonolysis of the enamine (VIII) and reduction of the nitro group using Raney Ni yields 5-amino-6-phenoxy-1-indanone (X). In the last step the intermediate (X) is mesylated with mesyl chloride to give CGP 28237.

合成路线图解说明:

2) Reduction of (VII) using Raney Ni gives 5-amino-6-phenoxyindane (XI), which is acetylated with acetic anhydride and oxidized with CrO3 to yield a mixture of indanones (XII) and (XIII). Chromatographic separation and hydrolysis of (XII) with HCl in ethanol gives 5-amino-6-phenoxy-1-indanone (X), which can be mesylated, as before, to CGP-28237.

参考文献No.108682
标题:Non-steroidal antiinflammatory compounds. 6. Antii
作者:Schr鰀er, E.; Lehmann, M.; Rufer, C.; B鰐tcher, I.
来源:Eur J Med Chem 1982,17(1),35-42
合成路线图解说明:

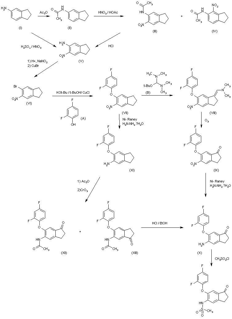
The acetylation of 5-aminoindane (I) with acetic anhydride gives N-(5-indanyl)acetamide (II), which is nitrated with HNO3 in glacial acetic acid yielding N-(6-nitro-5-indanyl)acetamide (III) and a small amount of the isomer (IV). The product (III) is hydrolyzed with HCl to 6-nitro-5-indanylamine (V). This nitroamine can also be obtained by nitration of 5-aminoindane (I). The Sandmeyer reaction of 6-nitro-5-indanylamine (V) with HNO2 and CuBr/NaBr in HBr leads to 6-nitro-5-bromoindane (VI), which reacts with 2,4-difluorophenol in the presence of KOC(CH3)3/CuCl in tert-butanol to yield 6-nitro-5-(2,4-difluorophenoxy)indane (VII). Starting from (VII), CGP-28238 can be prepared by two different routes: a) Condensation of (VII) with tert-butoxy-bis(dimethylamino)methane followed by ozonolysis of the enamine (VIII), and reduction of the nitro group using Raney-Ni and hydrazine hydrate yields 5-amino-6-(2,4-difluorophenoxy)-1-indanone (X). In the last step the intermediate (X) is mesylated with mesylchloride to give CGP-28238. b) Reduction of (VII) using Raney-Ni and hydrazine hydrate gives 5-amino-6-(2,4-difluorophenoxy)indane (XI), which is acetylated with acetic anhydride and oxidized with CrO3 to yield a mixture of indanone (XII) and (XIII). Chromatographic separation and hydrolysis of (XII) with HCl in ethanol gives 5-amino-6-(2,4-difluorophenoxy)-1-indanone (X), which can be mesylated, as before, to CGP-28238.

合成路线图解说明:

A) Synthesis of intermediate (VII): The acetylation of 5-aminoindane (I) with acetic anhydride gives N-(5-indanyl)acetamide (II), which is nitrated with HNO3 in glacial acetic acid yielding N-(6-nitro-5-indanyl)acetamide (III) and a small amount of the isomer (IV). The product (III) is hydrolyzed with HCl to 6-nitro-5-indanylamine (V). This nitroamine can also be obtained by nitration of 5-aminoindane (I). The Sandmeyer reaction of 6-nitro-5-indanylamine (V) with HNO2 and CuBr/NaBr in HBr gives 6-nitro-5-bromoindane (VI), which reacts with phenol in the presence of either K2CO3/ CuCl in pyridine (Method A) or t-BuOK in DMF (Method B) or t-BuOK/CuCl in tert-butanol (Method C) to yield 6-nitro-5-phenoxyindane (VII).

合成路线图解说明:

1) Condensation of (VII) with tert-butoxybis(dimethylamino)methane followed by ozonolysis of the enamine (VIII) and reduction of the nitro group using Raney Ni yields 5-amino-6-phenoxy-1-indanone (X). In the last step the intermediate (X) is mesylated with mesyl chloride to give CGP 28237.

合成路线图解说明:

2) Reduction of (VII) using Raney Ni gives 5-amino-6-phenoxyindane (XI), which is acetylated with acetic anhydride and oxidized with CrO3 to yield a mixture of indanones (XII) and (XIII). Chromatographic separation and hydrolysis of (XII) with HCl in ethanol gives 5-amino-6-phenoxy-1-indanone (X), which can be mesylated, as before, to CGP-28237.

参考文献No.108684
标题:Non-steroidal antiinflammatory compounds. 8. Antii
作者:Rufer, C.; Bahlmann, F.; Schr鰀er, E.; B鰐tcher, I.
来源:Eur J Med Chem 1982,17(1),173-80
合成路线图解说明:

The acetylation of 5-aminoindane (I) with acetic anhydride gives N-(5-indanyl)acetamide (II), which is nitrated with HNO3 in glacial acetic acid yielding N-(6-nitro-5-indanyl)acetamide (III) and a small amount of the isomer (IV). The product (III) is hydrolyzed with HCl to 6-nitro-5-indanylamine (V). This nitroamine can also be obtained by nitration of 5-aminoindane (I). The Sandmeyer reaction of 6-nitro-5-indanylamine (V) with HNO2 and CuBr/NaBr in HBr leads to 6-nitro-5-bromoindane (VI), which reacts with 2,4-difluorophenol in the presence of KOC(CH3)3/CuCl in tert-butanol to yield 6-nitro-5-(2,4-difluorophenoxy)indane (VII). Starting from (VII), CGP-28238 can be prepared by two different routes: a) Condensation of (VII) with tert-butoxy-bis(dimethylamino)methane followed by ozonolysis of the enamine (VIII), and reduction of the nitro group using Raney-Ni and hydrazine hydrate yields 5-amino-6-(2,4-difluorophenoxy)-1-indanone (X). In the last step the intermediate (X) is mesylated with mesylchloride to give CGP-28238. b) Reduction of (VII) using Raney-Ni and hydrazine hydrate gives 5-amino-6-(2,4-difluorophenoxy)indane (XI), which is acetylated with acetic anhydride and oxidized with CrO3 to yield a mixture of indanone (XII) and (XIII). Chromatographic separation and hydrolysis of (XII) with HCl in ethanol gives 5-amino-6-(2,4-difluorophenoxy)-1-indanone (X), which can be mesylated, as before, to CGP-28238.

合成路线图解说明:

A) Synthesis of intermediate (VII): The acetylation of 5-aminoindane (I) with acetic anhydride gives N-(5-indanyl)acetamide (II), which is nitrated with HNO3 in glacial acetic acid yielding N-(6-nitro-5-indanyl)acetamide (III) and a small amount of the isomer (IV). The product (III) is hydrolyzed with HCl to 6-nitro-5-indanylamine (V). This nitroamine can also be obtained by nitration of 5-aminoindane (I). The Sandmeyer reaction of 6-nitro-5-indanylamine (V) with HNO2 and CuBr/NaBr in HBr gives 6-nitro-5-bromoindane (VI), which reacts with phenol in the presence of either K2CO3/ CuCl in pyridine (Method A) or t-BuOK in DMF (Method B) or t-BuOK/CuCl in tert-butanol (Method C) to yield 6-nitro-5-phenoxyindane (VII).

合成路线图解说明:

1) Condensation of (VII) with tert-butoxybis(dimethylamino)methane followed by ozonolysis of the enamine (VIII) and reduction of the nitro group using Raney Ni yields 5-amino-6-phenoxy-1-indanone (X). In the last step the intermediate (X) is mesylated with mesyl chloride to give CGP 28237.

合成路线图解说明:

2) Reduction of (VII) using Raney Ni gives 5-amino-6-phenoxyindane (XI), which is acetylated with acetic anhydride and oxidized with CrO3 to yield a mixture of indanones (XII) and (XIII). Chromatographic separation and hydrolysis of (XII) with HCl in ethanol gives 5-amino-6-phenoxy-1-indanone (X), which can be mesylated, as before, to CGP-28237.

Drug Information Express,Drug R&D,Chemical Database,Patent Search.
Copyright © 2006-2026 Drug Future. All rights reserved.Contact Us