【药物名称】ST-587
化学结构式(Chemical Structure):
参考文献No.47472
标题:Derivs. of 2-(2'-halo-anilino)1,3-diazacyclo-pentene-(2)
作者:Stahle, H.; Zeiler, K.; Koppe, H.; Wolf, M.; Hoefke, W. (Boehringer Ingelheim GmbH)
来源:US 3462433
合成路线图解说明:

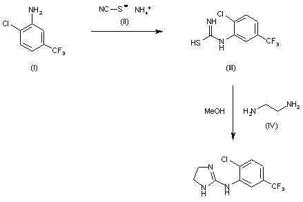
The reaction of 2-chloro-5-tritluoromethylaniline (I) with ammonium thiocyanate (II) in hot chlorobenzene gives N-(2-chloro-5-trifluoromethylphenyl)isothiourea (III), whith is cyclized with ethylenediamine (IV) in refluxing methanol.

参考文献No.77901
标题:ST-587
作者:Weetman, D.F.; Serradell, M.N.; Casta馿r, J.; Blancafort, P.
来源:Drugs Fut 1982,7(9),653
合成路线图解说明:

The reaction of 2-chloro-5-tritluoromethylaniline (I) with ammonium thiocyanate (II) in hot chlorobenzene gives N-(2-chloro-5-trifluoromethylphenyl)isothiourea (III), whith is cyclized with ethylenediamine (IV) in refluxing methanol.

Drug Information Express,Drug R&D,Chemical Database,Patent Search.
Copyright © 2006-2026 Drug Future. All rights reserved.Contact Us