【药物名称】Namirotene, CBS-211A
化学结构式(Chemical Structure):
参考文献No.3090
标题:New derivatives of 4-vinyl benzoic acid, process for their preparation and their uses in therapeutics ans as ligands
作者:Coquelet, C.; Roussillon, S.; Sincholle, D.; Bonne, C.; Alazet, A. (Chauvin Laboratories SA)
来源:EP 0161156; FR 8405531; US 4929635; WO 8504652
合成路线图解说明:

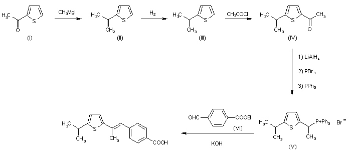
The addition of methyl magnesium iodide to 2-acetylthiophene (I) and subsequent reduction of the propenyl derivative (II) with H2 over Pd/C in methanol yields the 2-isopropylthiophene (III), which is acetylated with acetyl chloride. Reduction of 2-isopropyl-5-acetylthiophene (IV) with lithium aluminum hydride gives the corresponding alcohol, which is converted to the triphenylphosphonium salt (V). By Wittig reaction with 4-ethoxycarbonyl benzaldehyde (VI) the ethyl ester obtained is then hydrolyzed with potassium hydroxide to yield the free acid.

参考文献No.54622
标题:CBS-211 A
作者:Bonne, C.; Conduzorgues, J.P.; Coquelet, C.; Roussillon, S.
来源:Drugs Fut 1986,11(7),557
合成路线图解说明:

The addition of methyl magnesium iodide to 2-acetylthiophene (I) and subsequent reduction of the propenyl derivative (II) with H2 over Pd/C in methanol yields the 2-isopropylthiophene (III), which is acetylated with acetyl chloride. Reduction of 2-isopropyl-5-acetylthiophene (IV) with lithium aluminum hydride gives the corresponding alcohol, which is converted to the triphenylphosphonium salt (V). By Wittig reaction with 4-ethoxycarbonyl benzaldehyde (VI) the ethyl ester obtained is then hydrolyzed with potassium hydroxide to yield the free acid.

Drug Information Express,Drug R&D,Chemical Database,Patent Search.
Copyright © 2006-2026 Drug Future. All rights reserved.Contact Us