【药物名称】Tioconazole, UK-20349, Trosyd, Trosyl, Vagistat-1
化学结构式(Chemical Structure):
参考文献No.701424
标题:
作者:Gymer, G.E.
来源:DE 2619381
合成路线图解说明:

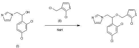
By condensation of 1-(2,4-dichlorophenyl)-2-(1-imidazolyl)ethanol (I) with 2-chloro-3-chloromethylthiophene (II) by means of NaH in refluxing THF.

参考文献No.800499
标题:Tioconazole
作者:Hillier, K.; Blancafort, P.; Casta馿r, J.; Serradell, M.N.
来源:Drugs Fut 1980,5(10),509
合成路线图解说明:

By condensation of 1-(2,4-dichlorophenyl)-2-(1-imidazolyl)ethanol (I) with 2-chloro-3-chloromethylthiophene (II) by means of NaH in refluxing THF.

Drug Information Express,Drug R&D,Chemical Database,Patent Search.
Copyright © 2006-2026 Drug Future. All rights reserved.Contact Us