【药物名称】Pazinaclone, A-77000, DN-2327
化学结构式(Chemical Structure):
参考文献No.4096
标题:Isoindolinone derivs., production and use thereof
作者:Goto, G.; Saji, Y. (Takeda Chemical Industries, Ltd.)
来源:EP 0174858; JP 1986069773; JP 1990262578; JP 1992364180; US 4778801
合成路线图解说明:

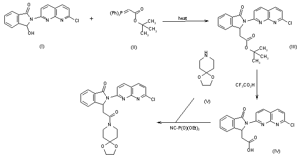
The reaction of 2-(7-chloro-1,8-naphthyrin-2-yl)-3-hydroxyisoindolin-1-one (I) with tert-butoxycarbonylmethylenetriphenylphosphorane (II) in refluxing toluene gives 2-(7-chloro-1,8-naphthyridin-2-yl)-3-oxoisoindolin-1-acetic acid tert-butyl ester (III), which is hydrolyzed with trifluoroacetic acid to the corresponding free acid (IV). Finally, this compound is condensed with 1,4-dioxa-8-azaspiro[4.5]decane (V) by means of diethyl phosphorocyanidate and triethylamine in DMF.

参考文献No.204153
标题:DN-2327
作者:Graul, A.; Prous, J.; Casta馿r, J.
来源:Drugs Fut 1993,18(5),414
合成路线图解说明:

The reaction of 2-(7-chloro-1,8-naphthyrin-2-yl)-3-hydroxyisoindolin-1-one (I) with tert-butoxycarbonylmethylenetriphenylphosphorane (II) in refluxing toluene gives 2-(7-chloro-1,8-naphthyridin-2-yl)-3-oxoisoindolin-1-acetic acid tert-butyl ester (III), which is hydrolyzed with trifluoroacetic acid to the corresponding free acid (IV). Finally, this compound is condensed with 1,4-dioxa-8-azaspiro[4.5]decane (V) by means of diethyl phosphorocyanidate and triethylamine in DMF.

参考文献No.801825
标题:Benzodiazepine receptor: Demonstration in the central nervous system
作者:Okada, T.; Mohler, M.
来源:Science 1977,198849-51
合成路线图解说明:

The reaction of 2-(7-chloro-1,8-naphthyrin-2-yl)-3-hydroxyisoindolin-1-one (I) with tert-butoxycarbonylmethylenetriphenylphosphorane (II) in refluxing toluene gives 2-(7-chloro-1,8-naphthyridin-2-yl)-3-oxoisoindolin-1-acetic acid tert-butyl ester (III), which is hydrolyzed with trifluoroacetic acid to the corresponding free acid (IV). Finally, this compound is condensed with 1,4-dioxa-8-azaspiro[4.5]decane (V) by means of diethyl phosphorocyanidate and triethylamine in DMF.

Drug Information Express,Drug R&D,Chemical Database,Patent Search.
Copyright © 2006-2026 Drug Future. All rights reserved.Contact Us