【药物名称】Curcumin
化学结构式(Chemical Structure):
参考文献No.54544
标题:Curcumin
作者:Scrimal, R.C.
来源:Drugs Fut 1987,12(4),331
合成路线图解说明:

Synthesis of curcumin was first described by Lampe et al. In our laboratory curcumin has been synthesized by condensing vanillin (I) and acetyl acetone (II) in a medium of ethyl acetate using tributylborate as boron complex to avoid Knoevenagel condensation at C-3 of acetyl acetone. Curcumin is isolated from the reaction mixture by acidification and extraction with ethyl acetate. The organic layers are washed until neutral, dried and the solvent is removed. purified by chromatography over silica gel using ether/petroleum ether as the solvent.

参考文献No.589471
标题:Labelled compounds of interest as antitumour agents - VII. [H-2]- and [C-14]-curcumin
作者:Threadgill, M.D.; Parveen, I.
来源:J Label Compd Radiopharm 2000,43(9),883
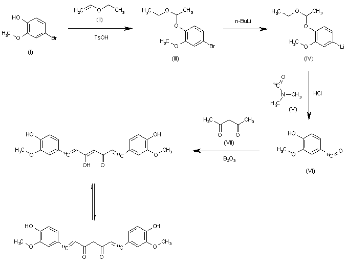
合成路线图解说明:

The protection of 4-bromo-2-methoxyphenol (I) with ethyl vinyl ether (II) and TsOH in dichloromethane gives the ethoxyethyl ether (III), which is treated with n-BuLi in THF to yield the phenyl lithium compound (IV). The reaction of (IV) with 2H-labeled DMF (V), followed by hydrolysis with HCl, affords the labeled 4-hydroxy-3-methoxybenzaldehyde (VI), which is finally condensed with pentane-2,4-dione (VII) by means of B2O3 and tetrahydroquinoline in DMF.

合成路线图解说明:

The protection of 4-bromo-2-methoxyphenol (I) with ethyl vinyl ether (II) and TsOH in dichloromethane gives the ethoxyethyl ether (III), which is treated with n-BuLi in THF to yield the phenyl lithium compound (IV). The reaction of (IV) with 14C-labeled DMF (V), followed by hydrolysis with HCl, affords the labeled 4-hydroxy-3-methoxybenzaldehyde (VI), which is finally condensed with pentane-2,4-dione (VII) by means of B2O3 and tetrahydroquinoline in DMF.

Drug Information Express,Drug R&D,Chemical Database,Patent Search.
Copyright © 2006-2026 Drug Future. All rights reserved.Contact Us