【药物名称】Razobazam, HR-175, Hoe-175
化学结构式(Chemical Structure):
参考文献No.4032
标题:4-Aryl-5,6,7,8-tetrahydropyrazolo[3,4-b]-[1,5]diazepine-1H,4H-5,7-diones and medicaments containing same
作者:Rackur, G.; Hoffmann, I. (Aventis SA)
来源:DD 152936; DE 2932835; EP 0024038; EP 0050376; JP 5603977; US 4302468
合成路线图解说明:

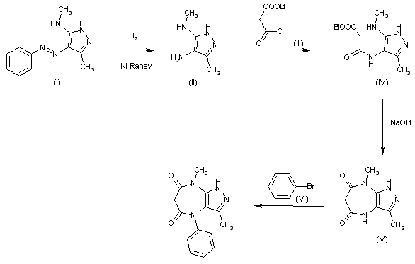
The reductive cleavage of 4-phenylazo-3-methyl-5-methylaminopyrazole (I) with H2 over RaNi in ethanol gives 4-amino-3-methyl-5-methylaminopyrazole (II), which is acylated with ethoxycarbonylacetyl chloride (III) in toluene yielding 4-(ethoxycarbonylacetylamino)-3-methyl-5-methylaminopyrazole (IV). The cyclization of (IV) by means of sodium ethoxide in ethanol affords 4,8-dihydro-3,8-dimethylpyrazolo[3,4b][1,4]diazepine-5,7(1H,6H) dione (V), which is finally phenylated by a treatment with powdered Cu and potassium acetate in refluxing bromobenzene

参考文献No.54499
标题:Razobazam
作者:Casta馿r, J.; Prous, J.
来源:Drugs Fut 1986,11(6),465
合成路线图解说明:

The reductive cleavage of 4-phenylazo-3-methyl-5-methylaminopyrazole (I) with H2 over RaNi in ethanol gives 4-amino-3-methyl-5-methylaminopyrazole (II), which is acylated with ethoxycarbonylacetyl chloride (III) in toluene yielding 4-(ethoxycarbonylacetylamino)-3-methyl-5-methylaminopyrazole (IV). The cyclization of (IV) by means of sodium ethoxide in ethanol affords 4,8-dihydro-3,8-dimethylpyrazolo[3,4b][1,4]diazepine-5,7(1H,6H) dione (V), which is finally phenylated by a treatment with powdered Cu and potassium acetate in refluxing bromobenzene

Drug Information Express,Drug R&D,Chemical Database,Patent Search.
Copyright © 2006-2026 Drug Future. All rights reserved.Contact Us