【药物名称】Terfenadine, MDL-9918, RMI-9918, Seldane-D, Seldane, Triludan, Teldane
化学结构式(Chemical Structure):
参考文献No.47581
标题:1-Aroylalkyl-4-diphenylmethyl piperidines
作者:Carr, A.A.; Kinsolving, C.R. (Aventis Pharmaceuticals, Inc.)
来源:DE 2303305; ES 410730; FR 2181692; GB 1412605; JP 48085576; US 3806526
合成路线图解说明:

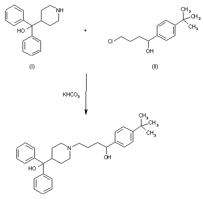
By condensation of alpha,alpha-diphenyl-4-piperidinemethanol (I) with 1-(p-tert-butylphenyl)-4-chlorobutanol (II) by means of KHCO3 and KI in refluxing toluene.

合成路线图解说明:

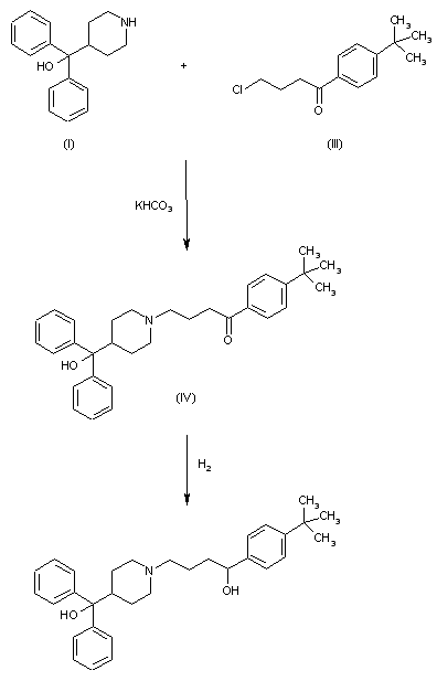
By condensation of alpha,alpha-diphenyl-4-piperidinemethanol (I) with 4'-chloro-p-tert-butyl-butyrophenone (III) by means of KHCO3 to give p-tert-butyl-4'-[4-(alpha-hydroxydiphenylmethyl)-1-piperidyl]butyrophenone (IV), which is then reduced with H2 and a catalyst.

参考文献No.47582
标题:Olefinic 4-substituted piperidino deriatives
作者:Carr, A.A.; Kinsolving, C.R. (Aventis Pharmaceuticals, Inc.)
来源:ES 410732; FR 2181689; GB 1413140; JP 48085579; US 3862173
合成路线图解说明:

By condensation of alpha,alpha-diphenyl-4-piperidinemethanol (I) with 1-(p-tert-butylphenyl)-4-chlorobutanol (II) by means of KHCO3 and KI in refluxing toluene.

合成路线图解说明:

By condensation of alpha,alpha-diphenyl-4-piperidinemethanol (I) with 4'-chloro-p-tert-butyl-butyrophenone (III) by means of KHCO3 to give p-tert-butyl-4'-[4-(alpha-hydroxydiphenylmethyl)-1-piperidyl]butyrophenone (IV), which is then reduced with H2 and a catalyst.

参考文献No.800560
标题:Terfenadine
作者:Thorpe, P.; Casta馿r, J.
来源:Drugs Fut 1978,3(3),220
合成路线图解说明:

By condensation of alpha,alpha-diphenyl-4-piperidinemethanol (I) with 1-(p-tert-butylphenyl)-4-chlorobutanol (II) by means of KHCO3 and KI in refluxing toluene.

合成路线图解说明:

By condensation of alpha,alpha-diphenyl-4-piperidinemethanol (I) with 4'-chloro-p-tert-butyl-butyrophenone (III) by means of KHCO3 to give p-tert-butyl-4'-[4-(alpha-hydroxydiphenylmethyl)-1-piperidyl]butyrophenone (IV), which is then reduced with H2 and a catalyst.

Drug Information Express,Drug R&D,Chemical Database,Patent Search.
Copyright © 2006-2026 Drug Future. All rights reserved.Contact Us