【药物名称】SLGNU
化学结构式(Chemical Structure):
参考文献No.54452
标题:SLGNU
作者:Sosnovsky, G.; Uma Maheswara Rao, N.
来源:Drugs Fut 1986,11(4),285
合成路线图解说明:

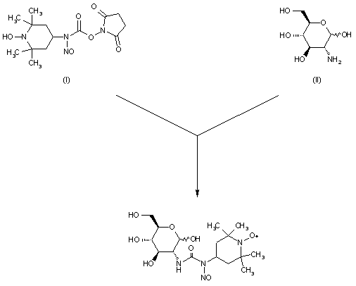
Condensation of N'-hydroxysuccinimide N-(2,2,6,6-tetramethylpiperidine-1-oxy-4-yl)-N-nitroso-carbamate (I) with 2-deoxy-2-amino-D-glucose (II) gives SLGNU.

Drug Information Express,Drug R&D,Chemical Database,Patent Search.
Copyright © 2006-2026 Drug Future. All rights reserved.Contact Us