【药物名称】Pravadoline, Win-48098-6(maleate), Win-48098
化学结构式(Chemical Structure):
参考文献No.3883
标题:3-Carbonyl-1-aminoalkyl-1H-indoles useful as analgesics and preparation thereof
作者:Bell, M.R. (Sanofi-Synth閘abo)
来源:AU 8545764; EP 0171037; ES 8609246; ES 8800149; ES 8800901; ES 8800902; ES 8801203; JP 1986047463
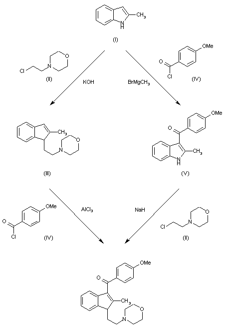
合成路线图解说明:

This compound can be obtained by two related ways: 1) The condensation of 2-methylindole (I) with 2-morpholinoethyl chloride (II) by means of KOH in hot DMSO gives 1-(2-morpholinoethyl)-2-methylindole (III), which is then submitted to a Friedel-Craft's reaction with 4-methoxybenzoyl chloride (IV) by means of AlCl3 in dichloromethane or ethylene dichloride. 2) The condensation of indole (I) with acyl chloride (IV) by means of methylmagnesium bromide in anhydrous ethyl ether gives 2-methyl-3-(4-methoxy benzoyl)indole (V), which is then condensed with morpholine (II) by means of K2CO3 in DMF.

参考文献No.79473
标题:WIN-48098
作者:Casta馿r, R.M.; Casta馿r, J.; Serradell, M.N.
来源:Drugs Fut 1987,12(9),867
合成路线图解说明:

This compound can be obtained by two related ways: 1) The condensation of 2-methylindole (I) with 2-morpholinoethyl chloride (II) by means of KOH in hot DMSO gives 1-(2-morpholinoethyl)-2-methylindole (III), which is then submitted to a Friedel-Craft's reaction with 4-methoxybenzoyl chloride (IV) by means of AlCl3 in dichloromethane or ethylene dichloride. 2) The condensation of indole (I) with acyl chloride (IV) by means of methylmagnesium bromide in anhydrous ethyl ether gives 2-methyl-3-(4-methoxy benzoyl)indole (V), which is then condensed with morpholine (II) by means of K2CO3 in DMF.

Drug Information Express,Drug R&D,Chemical Database,Patent Search.
Copyright © 2006-2026 Drug Future. All rights reserved.Contact Us