【药物名称】Bupropion hydrochloride, Amfebutamone hydrochloride, BW-323U66(free base), Wellbutrin XL, Quomem, Zyban, Wellbutrin, Wellbatrin
化学结构式(Chemical Structure):
参考文献No.54323
标题:Bupropion
作者:Hopkins, S.J.; Casta馿r, J.
来源:Drugs Fut 1978,3(10),723
合成路线图解说明:

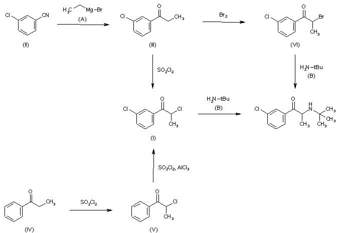
By reaction of alpha,m-(dichloropropiophenone (I) with tert-butylamine (B) in refluxing acetonitrile or by reaction of alpha-bromo-m-chloropropiophenone (VI) with tert-butylamine (B) in acetonitrile at room temperature. The starting product (I) can be obtained in two different ways: 1) The Grignard condensation of m-chlorobenzonitrile (II) with ethyl magnesium bromide (A) in refluxing ether gives m-chloropropiophenone (III), which is then treated with SO2Cl2 in tetrachloroethane. 2) The reaction of propiophenone (IV) with SO2Cl2 in tetrachloroethane gives alpha-chloropropiophenone (V), which is then chlorinated in the ring by means of SO2Cl2 and AlCl3 in tetrachloroethane. The starting product (VI) is obtained by bromination of m-chloropropiophenone (III) with Br2 in methylene chloride

参考文献No.701038
标题:Intermediates for biologically active ketones
作者:Mehta, N.B.; Yeowell, D.A.
来源:CA 977778
合成路线图解说明:

By reaction of alpha,m-(dichloropropiophenone (I) with tert-butylamine (B) in refluxing acetonitrile or by reaction of alpha-bromo-m-chloropropiophenone (VI) with tert-butylamine (B) in acetonitrile at room temperature. The starting product (I) can be obtained in two different ways: 1) The Grignard condensation of m-chlorobenzonitrile (II) with ethyl magnesium bromide (A) in refluxing ether gives m-chloropropiophenone (III), which is then treated with SO2Cl2 in tetrachloroethane. 2) The reaction of propiophenone (IV) with SO2Cl2 in tetrachloroethane gives alpha-chloropropiophenone (V), which is then chlorinated in the ring by means of SO2Cl2 and AlCl3 in tetrachloroethane. The starting product (VI) is obtained by bromination of m-chloropropiophenone (III) with Br2 in methylene chloride

参考文献No.701039
标题:Amino-propioph閚ones et m閐icaments contenant ces substances
作者:Mehta, N.B.; Yeowell, D.A.
来源:DE 2059618; DE 2064934; FR 2081326; US 3819706
合成路线图解说明:

By reaction of alpha,m-(dichloropropiophenone (I) with tert-butylamine (B) in refluxing acetonitrile or by reaction of alpha-bromo-m-chloropropiophenone (VI) with tert-butylamine (B) in acetonitrile at room temperature. The starting product (I) can be obtained in two different ways: 1) The Grignard condensation of m-chlorobenzonitrile (II) with ethyl magnesium bromide (A) in refluxing ether gives m-chloropropiophenone (III), which is then treated with SO2Cl2 in tetrachloroethane. 2) The reaction of propiophenone (IV) with SO2Cl2 in tetrachloroethane gives alpha-chloropropiophenone (V), which is then chlorinated in the ring by means of SO2Cl2 and AlCl3 in tetrachloroethane. The starting product (VI) is obtained by bromination of m-chloropropiophenone (III) with Br2 in methylene chloride

Drug Information Express,Drug R&D,Chemical Database,Patent Search.
Copyright © 2006-2026 Drug Future. All rights reserved.Contact Us