【药物名称】Traboxopine hydrochloride, EGYT-2509
化学结构式(Chemical Structure):
参考文献No.3878
标题:Dibenzo[d,g][1,3,6]dioxazocine derivs.
作者:Grasser, K.; Kiszelly, E.; Kos骳zky, I.; Pet骳z, L.; R髗sa, L. (Egis Pharmaceuticals Ltd.)
来源:DE 2833892; GB 2001980; US 4208410
合成路线图解说明:

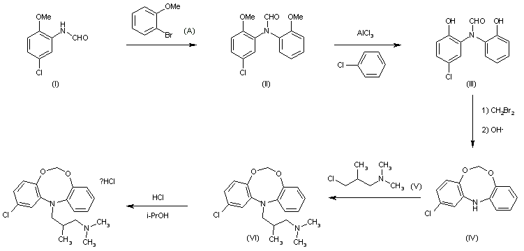
5-Chloro-2-methoxy-N-formylaniline (I) is reacted with 2-bromoanisole at 220 C in the presence of Na2CO3 and Cu(I)Br in Dowtherm A to give the diphenylamine (II), which is demethylated with anhydrous AlCl3 in chlorobenzene. The product (III) is cyclized with CH2Br2 in refluxing 2-butanone in the presence of K2CO3, then hydrolyzed with NaOH in boiling ethanol to give the dioxazocine (IV). The lat ter is condensed with 3-dimethylamino-2-methyl-1-chloropropane (V) in refluxing xylene in the presence of NaOH and the resulting base (VI) transtormed to EGYT-2509 by treatment with HCl in isopropanol.

参考文献No.54321
标题:EGYT-2509
作者:Nogradi, M.
来源:Drugs Fut 1986,11(12),1027
合成路线图解说明:

5-Chloro-2-methoxy-N-formylaniline (I) is reacted with 2-bromoanisole at 220 C in the presence of Na2CO3 and Cu(I)Br in Dowtherm A to give the diphenylamine (II), which is demethylated with anhydrous AlCl3 in chlorobenzene. The product (III) is cyclized with CH2Br2 in refluxing 2-butanone in the presence of K2CO3, then hydrolyzed with NaOH in boiling ethanol to give the dioxazocine (IV). The lat ter is condensed with 3-dimethylamino-2-methyl-1-chloropropane (V) in refluxing xylene in the presence of NaOH and the resulting base (VI) transtormed to EGYT-2509 by treatment with HCl in isopropanol.

参考文献No.700266
标题:Synthesis of 14C-labelled dibenzo[d,g][1,3,6]dioxazocine derivatives (EGYT-2474 and EGYT 2509)
作者:Birkas-Faigl, E.; et al.
来源:J Label Compd Radiopharm 1985,221061
合成路线图解说明:

5-Chloro-2-methoxy-N-formylaniline (I) is reacted with 2-bromoanisole at 220 C in the presence of Na2CO3 and Cu(I)Br in Dowtherm A to give the diphenylamine (II), which is demethylated with anhydrous AlCl3 in chlorobenzene. The product (III) is cyclized with CH2Br2 in refluxing 2-butanone in the presence of K2CO3, then hydrolyzed with NaOH in boiling ethanol to give the dioxazocine (IV). The lat ter is condensed with 3-dimethylamino-2-methyl-1-chloropropane (V) in refluxing xylene in the presence of NaOH and the resulting base (VI) transtormed to EGYT-2509 by treatment with HCl in isopropanol.

参考文献No.700314
标题:Conformational analysis of the dibenzo[d,g][1,3,6]dioxazocine skeleton
作者:Farkas, M.; et al.
来源:J Mol Struct 1985,131131
合成路线图解说明:

5-Chloro-2-methoxy-N-formylaniline (I) is reacted with 2-bromoanisole at 220 C in the presence of Na2CO3 and Cu(I)Br in Dowtherm A to give the diphenylamine (II), which is demethylated with anhydrous AlCl3 in chlorobenzene. The product (III) is cyclized with CH2Br2 in refluxing 2-butanone in the presence of K2CO3, then hydrolyzed with NaOH in boiling ethanol to give the dioxazocine (IV). The lat ter is condensed with 3-dimethylamino-2-methyl-1-chloropropane (V) in refluxing xylene in the presence of NaOH and the resulting base (VI) transtormed to EGYT-2509 by treatment with HCl in isopropanol.

参考文献No.700423
标题:Synthesis and CNS-activity of dibenzo[d,g][1,3,6]dioxazocines
作者:Rozsa, L.; Petocz, L.; Grasser, K.; Kosoczky, I.; Kiszelly, E.
来源:VIIth Symp Med Chem (Sept 2-5, Torremolinos) 1980,P 175
合成路线图解说明:

5-Chloro-2-methoxy-N-formylaniline (I) is reacted with 2-bromoanisole at 220 C in the presence of Na2CO3 and Cu(I)Br in Dowtherm A to give the diphenylamine (II), which is demethylated with anhydrous AlCl3 in chlorobenzene. The product (III) is cyclized with CH2Br2 in refluxing 2-butanone in the presence of K2CO3, then hydrolyzed with NaOH in boiling ethanol to give the dioxazocine (IV). The lat ter is condensed with 3-dimethylamino-2-methyl-1-chloropropane (V) in refluxing xylene in the presence of NaOH and the resulting base (VI) transtormed to EGYT-2509 by treatment with HCl in isopropanol.

Drug Information Express,Drug R&D,Chemical Database,Patent Search.
Copyright © 2006-2026 Drug Future. All rights reserved.Contact Us