【药物名称】SQ 28668
化学结构式(Chemical Structure):
参考文献No.803888
标题:Synthesis and in vitro pharmacology of 7-oxabicyclo[2.2.1]heptane analogues of thromboxane A2/PGH2
作者:Gougoutas, J.Z.; Sprague, P.W.; Harris, D.N.; Malley, M.F.; Heikes, J.E.; Greenberg, R.
来源:J Med Chem 1985,281580-1590
合成路线图解说明:

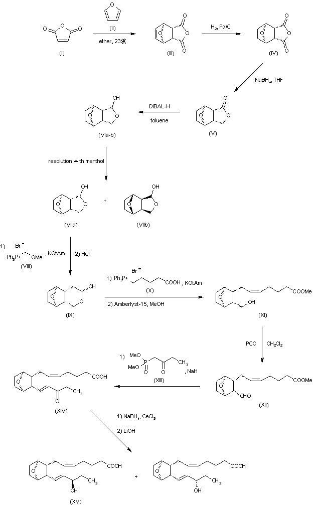
The Diels-Alder condensation of maleic anhydride (I) with furan (II) gives the epoxytetrahydrophthalic anhydride (III), which is reduced with H2 over Pd/C, yielding the epoxyperhydrophthalic anhydride (IV). Further reduction of (IV) with NaBH4 affords the epoxyperhydrophthalide (V), which is submitted to a third reduction with DIBAL-H to provide the lactol (VI) as a racemic mixture that is resolved with menthol. The appropriate isomer (VIIa) is treated with triphenylphosphonium bromide (VIII) and potassium tert-amyloxide to give the 5,8-epoxyperhydro-2-benzopyran-3-ol (IX), which is condensed with 4-carboxybutyltriphenylphosphonium bromide (X) by means of potassium tert-amyloxide and esterified with Amberlist-15/MeOH, yielding the cis-5-heptenoic acid methyl ester (XI). The oxidation of the primary alcohol group of (XI) with pyridinium chlorochromate (PCC) in dichloromethane affords the aldehyde (XII), which is finally reductocondensed with 4-phenylsemicarbazide (XIII) by means of NaBH3CN and hydrolyzed with LiOH to furnish the target semicarbazide.

合成路线图解说明:

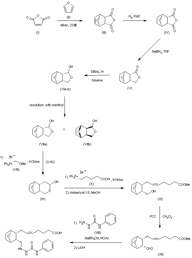
The Diels-Alder condensation of maleic anhydride (I) with furan (II) gives the epoxytetrahydrophthalic anhydride (III), which is reduced with H2 over Pd/C, yielding the epoxyperhydrophthalic anhydride (IV). Further reduction of (IV) with NaBH4 affords the epoxyperhydrophthalide (V), which is submitted to a third reduction with DIBAL-H to provide the lactol (VI) as a racemic mixture that is resolved with menthol. The appropriate isomer (VIIa) is treated with triphenylphosphonium bromide (VIII) and potassium tert-amyloxide to give the 5,8-epoxyperhydro-2-benzopyran-3-ol (IX), which is condensed with 4-carboxybutyltriphenylphosphonium bromide (X) by means of potassium tert-amyloxide and esterified with Amberlist-15/MeOH, yielding the cis-5-heptenoic acid methyl ester (XI). The oxidation of the primary alcohol group of (XI) with pyridinium chlorochromate (PCC) in dichloromethane affords the aldehyde (XII), which is condensed with dimethyl 2-oxobutylphosphonate (XIII) and NaH, providing the pentenone (XIV). Finally, the ketonic group of (XIV) is reduced with NaBH4/CeCl3, and the resulting ester hydrolyzed with LiOH to furnish the target hydroxyacid as a diastereomeric mixture that is separated by conventional methods.

合成路线图解说明:

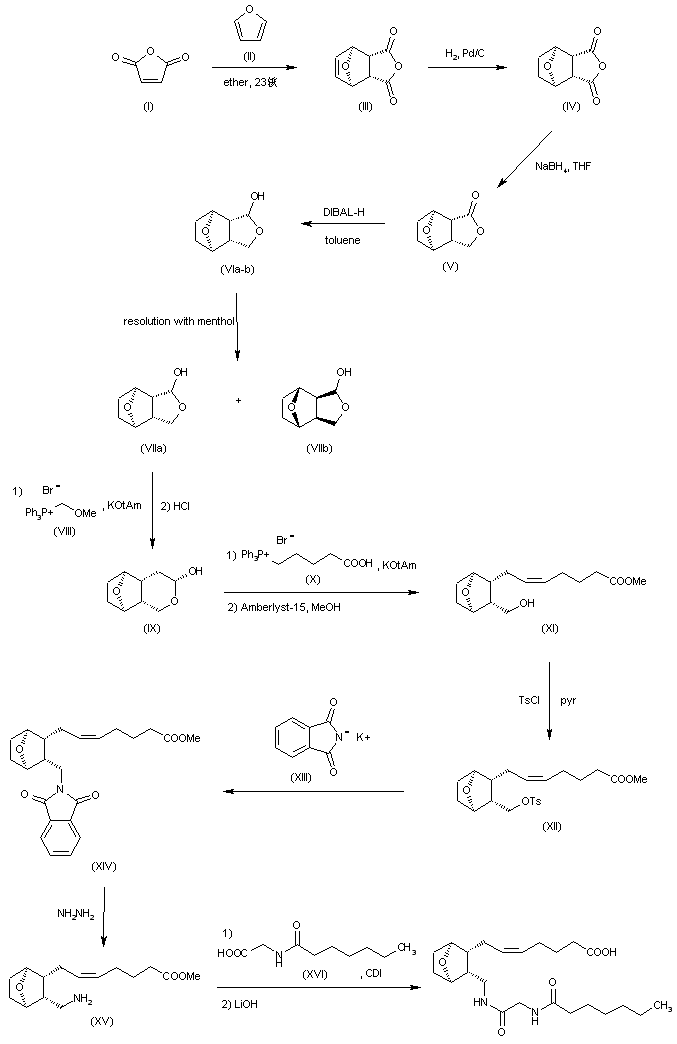
The Diels-Alder condensation of maleic anhydride (I) with furan (II) gives the epoxytetrahydrophthalic anhydride (III), which is reduced with H2 over Pd/C, yielding the epoxyperhydrophthalic anhydride (IV). Further reduction of (IV) with NaBH4 affords the epoxyperhydrophthalide (V), which is submitted to a third reduction with DIBAL-H to provide the lactol (VI) as a racemic mixture that is resolved with menthol. The appropriate isomer (VIIa) is treated with triphenylphosphonium bromide (VIII) and potassium tert-amyloxide to give the 5,8-epoxyperhydro-2-benzopyran-3-ol (IX), which is condensed with 4-carboxybutyltriphenylphosphonium bromide (X) by means of potassium tert-amyloxide and esterified with Amberlist-15/MeOH, yielding the cis-5-heptenoic acid methyl ester (XI). The sulfonation of the primary alcohol group of (XI) with TsOH affords the tosylate (XII), which is condensed with potassium phthalimide (XII) to provide the phthalimido derivative (XIV). The treatment of (XIV) with hydrazine gives the aminomethyl compound (XV), which is finally condensed with N-(heptanoyl)glycine (XVI) by means of CDI and hydrolyzed with LiOH to afford the target glycinamide compound.

参考文献No.803889
标题:Aza-substituted omega side chain modification of 7-oxabicyclo[2.2.1]heptane TxA2 receptor antagonists: Structure-activity relationships
作者:Haslanger, M.F.; Greenberg, M.J.; Ogletree, M.L.; Nakane, M.; Garber, D.P.; Harris, D.N.; Reid, J.C.
来源:Advances in Prostaglandin, Thromboxane and Leukotriene Research, vol. 15; O. Hayaishi and S. Yamamoto (Eds.). Raven Press: New York 1985,291-293
合成路线图解说明:

The Diels-Alder condensation of maleic anhydride (I) with furan (II) gives the epoxytetrahydrophthalic anhydride (III), which is reduced with H2 over Pd/C, yielding the epoxyperhydrophthalic anhydride (IV). Further reduction of (IV) with NaBH4 affords the epoxyperhydrophthalide (V), which is submitted to a third reduction with DIBAL-H to provide the lactol (VI) as a racemic mixture that is resolved with menthol. The appropriate isomer (VIIa) is treated with triphenylphosphonium bromide (VIII) and potassium tert-amyloxide to give the 5,8-epoxyperhydro-2-benzopyran-3-ol (IX), which is condensed with 4-carboxybutyltriphenylphosphonium bromide (X) by means of potassium tert-amyloxide and esterified with Amberlist-15/MeOH, yielding the cis-5-heptenoic acid methyl ester (XI). The oxidation of the primary alcohol group of (XI) with pyridinium chlorochromate (PCC) in dichloromethane affords the aldehyde (XII), which is finally reductocondensed with 4-phenylsemicarbazide (XIII) by means of NaBH3CN and hydrolyzed with LiOH to furnish the target semicarbazide.

合成路线图解说明:

The Diels-Alder condensation of maleic anhydride (I) with furan (II) gives the epoxytetrahydrophthalic anhydride (III), which is reduced with H2 over Pd/C, yielding the epoxyperhydrophthalic anhydride (IV). Further reduction of (IV) with NaBH4 affords the epoxyperhydrophthalide (V), which is submitted to a third reduction with DIBAL-H to provide the lactol (VI) as a racemic mixture that is resolved with menthol. The appropriate isomer (VIIa) is treated with triphenylphosphonium bromide (VIII) and potassium tert-amyloxide to give the 5,8-epoxyperhydro-2-benzopyran-3-ol (IX), which is condensed with 4-carboxybutyltriphenylphosphonium bromide (X) by means of potassium tert-amyloxide and esterified with Amberlist-15/MeOH, yielding the cis-5-heptenoic acid methyl ester (XI). The oxidation of the primary alcohol group of (XI) with pyridinium chlorochromate (PCC) in dichloromethane affords the aldehyde (XII), which is condensed with dimethyl 2-oxobutylphosphonate (XIII) and NaH, providing the pentenone (XIV). Finally, the ketonic group of (XIV) is reduced with NaBH4/CeCl3, and the resulting ester hydrolyzed with LiOH to furnish the target hydroxyacid as a diastereomeric mixture that is separated by conventional methods.

合成路线图解说明:

The Diels-Alder condensation of maleic anhydride (I) with furan (II) gives the epoxytetrahydrophthalic anhydride (III), which is reduced with H2 over Pd/C, yielding the epoxyperhydrophthalic anhydride (IV). Further reduction of (IV) with NaBH4 affords the epoxyperhydrophthalide (V), which is submitted to a third reduction with DIBAL-H to provide the lactol (VI) as a racemic mixture that is resolved with menthol. The appropriate isomer (VIIa) is treated with triphenylphosphonium bromide (VIII) and potassium tert-amyloxide to give the 5,8-epoxyperhydro-2-benzopyran-3-ol (IX), which is condensed with 4-carboxybutyltriphenylphosphonium bromide (X) by means of potassium tert-amyloxide and esterified with Amberlist-15/MeOH, yielding the cis-5-heptenoic acid methyl ester (XI). The sulfonation of the primary alcohol group of (XI) with TsOH affords the tosylate (XII), which is condensed with potassium phthalimide (XII) to provide the phthalimido derivative (XIV). The treatment of (XIV) with hydrazine gives the aminomethyl compound (XV), which is finally condensed with N-(heptanoyl)glycine (XVI) by means of CDI and hydrolyzed with LiOH to afford the target glycinamide compound.

参考文献No.803890
标题:9,11-Epoxy-9-homo-14-oxaprosta-5-enoic acid derivatives. Novel inhibitors of fatty acid cyclooxygenase
作者:Haslanger, M.F.; Han, W.-C.; Ogletree, M.L.; Hall, S.E.; Harris, D.N.
来源:J Med Chem 1986,292335-2347
合成路线图解说明:

The Diels-Alder condensation of maleic anhydride (I) with furan (II) gives the epoxytetrahydrophthalic anhydride (III), which is reduced with H2 over Pd/C, yielding the epoxyperhydrophthalic anhydride (IV). Further reduction of (IV) with NaBH4 affords the epoxyperhydrophthalide (V), which is submitted to a third reduction with DIBAL-H to provide the lactol (VI) as a racemic mixture that is resolved with menthol. The appropriate isomer (VIIa) is treated with triphenylphosphonium bromide (VIII) and potassium tert-amyloxide to give the 5,8-epoxyperhydro-2-benzopyran-3-ol (IX), which is condensed with 4-carboxybutyltriphenylphosphonium bromide (X) by means of potassium tert-amyloxide and esterified with Amberlist-15/MeOH, yielding the cis-5-heptenoic acid methyl ester (XI). The oxidation of the primary alcohol group of (XI) with pyridinium chlorochromate (PCC) in dichloromethane affords the aldehyde (XII), which is finally reductocondensed with 4-phenylsemicarbazide (XIII) by means of NaBH3CN and hydrolyzed with LiOH to furnish the target semicarbazide.

合成路线图解说明:

The Diels-Alder condensation of maleic anhydride (I) with furan (II) gives the epoxytetrahydrophthalic anhydride (III), which is reduced with H2 over Pd/C, yielding the epoxyperhydrophthalic anhydride (IV). Further reduction of (IV) with NaBH4 affords the epoxyperhydrophthalide (V), which is submitted to a third reduction with DIBAL-H to provide the lactol (VI) as a racemic mixture that is resolved with menthol. The appropriate isomer (VIIa) is treated with triphenylphosphonium bromide (VIII) and potassium tert-amyloxide to give the 5,8-epoxyperhydro-2-benzopyran-3-ol (IX), which is condensed with 4-carboxybutyltriphenylphosphonium bromide (X) by means of potassium tert-amyloxide and esterified with Amberlist-15/MeOH, yielding the cis-5-heptenoic acid methyl ester (XI). The oxidation of the primary alcohol group of (XI) with pyridinium chlorochromate (PCC) in dichloromethane affords the aldehyde (XII), which is condensed with dimethyl 2-oxobutylphosphonate (XIII) and NaH, providing the pentenone (XIV). Finally, the ketonic group of (XIV) is reduced with NaBH4/CeCl3, and the resulting ester hydrolyzed with LiOH to furnish the target hydroxyacid as a diastereomeric mixture that is separated by conventional methods.

合成路线图解说明:

The Diels-Alder condensation of maleic anhydride (I) with furan (II) gives the epoxytetrahydrophthalic anhydride (III), which is reduced with H2 over Pd/C, yielding the epoxyperhydrophthalic anhydride (IV). Further reduction of (IV) with NaBH4 affords the epoxyperhydrophthalide (V), which is submitted to a third reduction with DIBAL-H to provide the lactol (VI) as a racemic mixture that is resolved with menthol. The appropriate isomer (VIIa) is treated with triphenylphosphonium bromide (VIII) and potassium tert-amyloxide to give the 5,8-epoxyperhydro-2-benzopyran-3-ol (IX), which is condensed with 4-carboxybutyltriphenylphosphonium bromide (X) by means of potassium tert-amyloxide and esterified with Amberlist-15/MeOH, yielding the cis-5-heptenoic acid methyl ester (XI). The sulfonation of the primary alcohol group of (XI) with TsOH affords the tosylate (XII), which is condensed with potassium phthalimide (XII) to provide the phthalimido derivative (XIV). The treatment of (XIV) with hydrazine gives the aminomethyl compound (XV), which is finally condensed with N-(heptanoyl)glycine (XVI) by means of CDI and hydrolyzed with LiOH to afford the target glycinamide compound.

参考文献No.803891
标题:7-Oxabicycloheptane analogs: modulators of the arachidonate cascade
作者:Hedberg, A.; Hall, S.E.; Harris, D.N.; Ogletree, M.L.
来源:Drugs Fut 1988,13(2),153
合成路线图解说明:

The Diels-Alder condensation of maleic anhydride (I) with furan (II) gives the epoxytetrahydrophthalic anhydride (III), which is reduced with H2 over Pd/C, yielding the epoxyperhydrophthalic anhydride (IV). Further reduction of (IV) with NaBH4 affords the epoxyperhydrophthalide (V), which is submitted to a third reduction with DIBAL-H to provide the lactol (VI) as a racemic mixture that is resolved with menthol. The appropriate isomer (VIIa) is treated with triphenylphosphonium bromide (VIII) and potassium tert-amyloxide to give the 5,8-epoxyperhydro-2-benzopyran-3-ol (IX), which is condensed with 4-carboxybutyltriphenylphosphonium bromide (X) by means of potassium tert-amyloxide and esterified with Amberlist-15/MeOH, yielding the cis-5-heptenoic acid methyl ester (XI). The oxidation of the primary alcohol group of (XI) with pyridinium chlorochromate (PCC) in dichloromethane affords the aldehyde (XII), which is finally reductocondensed with 4-phenylsemicarbazide (XIII) by means of NaBH3CN and hydrolyzed with LiOH to furnish the target semicarbazide.

合成路线图解说明:

The Diels-Alder condensation of maleic anhydride (I) with furan (II) gives the epoxytetrahydrophthalic anhydride (III), which is reduced with H2 over Pd/C, yielding the epoxyperhydrophthalic anhydride (IV). Further reduction of (IV) with NaBH4 affords the epoxyperhydrophthalide (V), which is submitted to a third reduction with DIBAL-H to provide the lactol (VI) as a racemic mixture that is resolved with menthol. The appropriate isomer (VIIa) is treated with triphenylphosphonium bromide (VIII) and potassium tert-amyloxide to give the 5,8-epoxyperhydro-2-benzopyran-3-ol (IX), which is condensed with 4-carboxybutyltriphenylphosphonium bromide (X) by means of potassium tert-amyloxide and esterified with Amberlist-15/MeOH, yielding the cis-5-heptenoic acid methyl ester (XI). The oxidation of the primary alcohol group of (XI) with pyridinium chlorochromate (PCC) in dichloromethane affords the aldehyde (XII), which is condensed with dimethyl 2-oxobutylphosphonate (XIII) and NaH, providing the pentenone (XIV). Finally, the ketonic group of (XIV) is reduced with NaBH4/CeCl3, and the resulting ester hydrolyzed with LiOH to furnish the target hydroxyacid as a diastereomeric mixture that is separated by conventional methods.

合成路线图解说明:

The Diels-Alder condensation of maleic anhydride (I) with furan (II) gives the epoxytetrahydrophthalic anhydride (III), which is reduced with H2 over Pd/C, yielding the epoxyperhydrophthalic anhydride (IV). Further reduction of (IV) with NaBH4 affords the epoxyperhydrophthalide (V), which is submitted to a third reduction with DIBAL-H to provide the lactol (VI) as a racemic mixture that is resolved with menthol. The appropriate isomer (VIIa) is treated with triphenylphosphonium bromide (VIII) and potassium tert-amyloxide to give the 5,8-epoxyperhydro-2-benzopyran-3-ol (IX), which is condensed with 4-carboxybutyltriphenylphosphonium bromide (X) by means of potassium tert-amyloxide and esterified with Amberlist-15/MeOH, yielding the cis-5-heptenoic acid methyl ester (XI). The sulfonation of the primary alcohol group of (XI) with TsOH affords the tosylate (XII), which is condensed with potassium phthalimide (XII) to provide the phthalimido derivative (XIV). The treatment of (XIV) with hydrazine gives the aminomethyl compound (XV), which is finally condensed with N-(heptanoyl)glycine (XVI) by means of CDI and hydrolyzed with LiOH to afford the target glycinamide compound.

Drug Information Express,Drug R&D,Chemical Database,Patent Search.
Copyright © 2006-2026 Drug Future. All rights reserved.Contact Us