【药物名称】Thiarubrine A
化学结构式(Chemical Structure):
参考文献No.536163
标题:Chemistry of 1,2-dithiins. Synthesis of the potent antibiotic thiarubrine A
作者:Yang, W.; Koreeda, M.
来源:J Am Chem Soc 1994,11610793
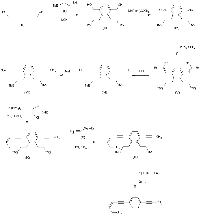
合成路线图解说明:

The addition of 2-(trimethylsilyl)ethylmercaptane (I) to 2,4-hexadiyn-1,6-diol (II) catalyzed by KOH in DMF gives the addition product (III), which is oxidized with Dess-Martin periodinane in dichloromethane or oxalyl chloride in DMSO yielding the dialdehyde (IV). The condensation of (IV) with tetrabromomethane by means of triphenylphosphine in dichloromethane affords the tetrabromo derivative (V), which is treated with butyllithium in THF to give the diacetylenic dianion (VI). The reaction of (V) with methyl iodide yields the methylated monoanion (VII), which is condensed with DMF catalyzed by boron trifluoride ethearate to afford the diacetylenic aldehyde (VIII). The reaction of (VIII) with tetrabromomethane/triphenylphosphine as before gives the dibromovinyl derivative (IX), which is treated with butyllithium as before yielding the triacetylenic compound (X). The condensation of (X) with vinyl bromide (XI) by means of Pd(PPh3)4/CuI/triethylamine in toluene affords the intermediate (XII), which is finally submitted to an oxidative cyclization by means of tetrabutylammonium fluoride and iodine.

合成路线图解说明:

The addition of 2-(trimethylsilyl)ethylmercaptane (I) to 2,4-hexadiyn-1,6-diol (II) catalyzed by KOH in DMF gives the addition product (III), which is oxidized with Dess-Martin periodinane in dichloromethane or oxalyl chloride in DMSO yielding the dialdehyde (IV). The condensation of (IV) with tetrabromomethane by means of triphenylphosphine in dichloromethane affords the tetrabromo derivative (V), which is treated with butyllithium in THF to give the diacetylenic dianion (VI). The reaction of (V) with methyl iodide yields the mono methylated compound (VII), which is condensed with cis-1,2-dichloroethylene (VIII) by means of Pd(PPh3)4/CuI/butylamine in benzene affording the cis-chlorovinyl compound (IX). THe reaction of (IX) with vinylmagnesium bromide (X) catalyzed by Pd(PPh3)4 in benzene gives precursor (XI), which is finally submitted to an oxidative cyclization by means of tetrabutylammonium fluoride/trifluoroacetic acid and iodine.

Drug Information Express,Drug R&D,Chemical Database,Patent Search.
Copyright © 2006-2026 Drug Future. All rights reserved.Contact Us