【药物名称】RA-642
化学结构式(Chemical Structure):
参考文献No.74974
标题:RA-642
作者:Pichler, L.; Heckel, A.
来源:Drugs Fut 1983,8(12),1023
合成路线图解说明:

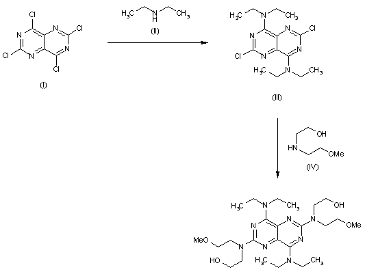
Reaction of 2,4,6,8-tetrachloropyrimido[5,4-d]pyrimidine (I) with diethylamine (II) yields (III), which is converted into RA-642 by heating with 2'-hydroxyethyl-2'-methoxyethylamine (IV).

参考文献No.701290
标题:
作者:Roch, R.; Kadatz, R.; Ihrig, H.
来源:DE 2300661
合成路线图解说明:

Reaction of 2,4,6,8-tetrachloropyrimido[5,4-d]pyrimidine (I) with diethylamine (II) yields (III), which is converted into RA-642 by heating with 2'-hydroxyethyl-2'-methoxyethylamine (IV).

Drug Information Express,Drug R&D,Chemical Database,Patent Search.
Copyright © 2006-2026 Drug Future. All rights reserved.Contact Us