【药物名称】Oxcarbazepine, KIN-493, GP-47680, Trileptal
化学结构式(Chemical Structure):
参考文献No.3765
标题:Process for the manufacture of 5-carbamoyl-10-oxo-10,11-dihydro-5H-dibenz[b,f]azepine
作者:Aufderhaar, E. (Novartis AG)
来源:DD 153835; EP 0028028; JP 1045366; JP 1045367; JP 1045368; US 4452738; US 4540514; US 4559174; US 4579683
合成路线图解说明:

2) The nitration of 5-cyano 5H-dibenz[f,b]azepine (IV) with NaNO2 in acetic anhydride - acetic acid gives 5-cyano 10-nitro-5H-dibenz[b, f]azepine (V), which is then treated with BrF3 and powdered Fe in hot acetic acid.

参考文献No.42015
标题:Process for the preparation of new azepine deriv.
作者:Schindler, W. (Novartis AG)
来源:DE 2011087
合成路线图解说明:

1) The reaction of 10-methoxy-5H-dibenz[b,f]azepine (I) with phosgene in hot toluene gives 10-methoxy-5H-dibenz[b,f]azepine-5-carbonyl chloride (II), which is treated with NH3 in refluxing ethanol to afford 10-methoxy-5H-dibenz[b,f]azepine-5-carboxamide (III). Finally, this compound is hydrolyzed with refluxing 2N HCl.

参考文献No.51932
标题:A process for the preparation of 10-oxo-10,11-dihydro-5H-dibenzo(b,f)azepin-5-carboxamide
作者:Milanese, A.
来源:WO 9621649
合成路线图解说明:

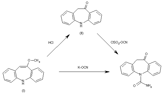
This compound has been obtained by two related ways: 1. The hydrolysis of 10-methoxy-5H-dibenzo[b,f]azepine (I) with refluxing 2N HCl gives 10,11-dihydro-5H-dibenzo[b,f]azepin-5-one (II), which is then treated with chlorosulfonyl isocyanate in chloroform to yield the target carboxamide. 2. The reaction of 10-methoxy-5H-dibenzo[b,f]azepine (I) with potassium cyanate in hot sulfuric acid also gives the target carboxamide. In this reaction sodium cyanate can also be used instead of the potassium salt. Other strong acids such as trichloroacetic acid or anhydrous HCl in acetic acid can be used instead of sulfuric acid.

参考文献No.54161
标题:Oxcarbazepine
作者:Casta馿r, J.; Prous, J.
来源:Drugs Fut 1986,11(10),844
合成路线图解说明:

1) The reaction of 10-methoxy-5H-dibenz[b,f]azepine (I) with phosgene in hot toluene gives 10-methoxy-5H-dibenz[b,f]azepine-5-carbonyl chloride (II), which is treated with NH3 in refluxing ethanol to afford 10-methoxy-5H-dibenz[b,f]azepine-5-carboxamide (III). Finally, this compound is hydrolyzed with refluxing 2N HCl.

合成路线图解说明:

2) The nitration of 5-cyano 5H-dibenz[f,b]azepine (IV) with NaNO2 in acetic anhydride - acetic acid gives 5-cyano 10-nitro-5H-dibenz[b, f]azepine (V), which is then treated with BrF3 and powdered Fe in hot acetic acid.

参考文献No.55038
标题:Dibenzo [b,f]azepine derivs. and their preparation
作者:Kaufmann, D.; Lohse, O.; Zaugg, W.; F黱fschilling, P.; Beutler, U. (Novartis AG; Novartis-Erfindungen VmbH)
来源:WO 0156992
合成路线图解说明:

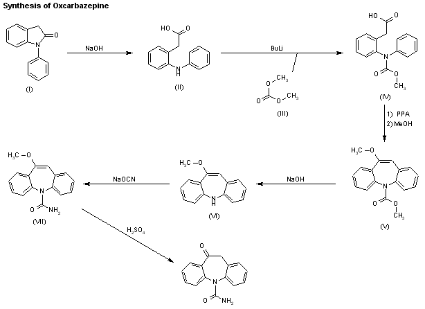
A new process for the preparation of oxcarbamazepine has been reported: Reaction of 1-phenyl-2,3-dihydro-1H-indol-2-one (I) with NaOH in refluxing THF gives 2-[2-(phenylamino)phenyl]acetic acid (II), which is condensed with dimethyl carbonate (III) by means of butyl lithium in the same solvent to yield 2-[2-[N-(methoxycarbonyl)-N-phenylamino]phenyl]acetic acid (IV). Cyclization of compound (IV) by means of polyphosphoric acid (PPA) at 100 C, followed by treatment of the reaction mixture with hot methanol (65 C) affords 10-methoxy-5H-dibenzo[b,f]azepine-5-carboxylic acid methyl ester (V), which is treated with NaOH in polyethyleneglycol at 100 C to provide 10-methoxy-5H-dibenzo[b,f]azepine (VI). Reaction of (VI) with sodium cyanate in acetic acid gives 10-methoxy-5H-dibenzo[b,f]azepine-5-carboxamide (VII), which is finally treated with H2SO4.

参考文献No.606713
标题:New synthesis of oxcarbazepine via remote metalation of protected N-o-tolyl-anthranilamide derivatives
作者:Lohse, O.; Kaufmann, D.; France, J.; Beutler, U.; Funfschilling, P.; Zaugg, W.; Furet, P.
来源:Tetrahedron Lett 2001,42(3),385
合成路线图解说明:

Syntheses of intermediate (V), 5-benzyl-10,11-dihydro-5H-dibenz[b,f]azepin-10-one: Cyclization of either 2-[N-benzyl-N-(2-methylphenyl)amino]-N,N-dimethylbenzamide (I), 2-[N-benzyl-N-(2-methylphenyl)amino]-N,N-diethylbenzamide (II), 2-[N-benzyl-N-(2-methylphenyl)amino]-N,N-diisopropylbenzamide (III) or the morpholine derivative (IV) by means of LDA and TMEDA in THF.

合成路线图解说明:

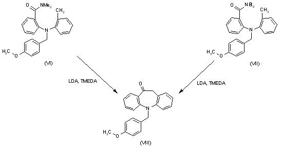
Syntheses of intermediate (VIII), 5-(4-methoxybenzyl)-10,11-dihydro-5H-dibenz[b,f]azepin-10-one: Cyclization of 2-[N-(4-methoxybenzyl)-N-(2-methylphenyl)amino]-N,N-dimethylbenzamide (VI) or 2-[N-(4-methoxybenzyl)-N-(2-methylphenyl)amino]-N,N-diethylbenzamide (VII)) by means of LDA and TMEDA in THF.

合成路线图解说明:

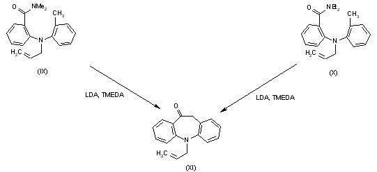
Syntheses of intermediate (XI), 5-allyl-10,11-dihydro-5H-dibenz[b,f]azepin-10-one: Cyclization of 2-[N-allyl-N-(2-methylphenyl)amino]-N,N-dimethylbenzamide (IX) or 2-[N-allyl-N-(2-methylphenyl)amino]-N,N-diethylbenzamide (X) by means of LDA and TMEDA in THF.

合成路线图解说明:

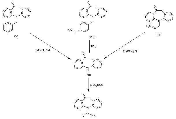
Finally, deprotection of either intermediate (V) with TMS-Cl and NaI, intermediate (VIII) with TiCl4 or intermediate (XI) with Rh(PPh3)3Cl give, in all cases, 10,11-dihydro-5H-dibenz[b,f]azepin-10-one (XII), which is finally treated with chlorosulfonyl isocyanate to afford oxcarbazepine.

Drug Information Express,Drug R&D,Chemical Database,Patent Search.
Copyright © 2006-2026 Drug Future. All rights reserved.Contact Us